Острее шпаги - Страница 53
Что происходило в каменном склепе колодца Лотоса с замурованными там претендентами на служение богу Ра? Сначала из окошечка просовывался камень с выбитыми на нем цифрами, может быть, неверными. Потом через это отверстие до слуха проходивших мимо жрецов могли доноситься крики, стоны, мольбы умирающих с голоду испытуемых, которым не суждено было стать служителями храма. Не суждено? Нет! Они не смогли ими стать, как не смог бы стать жрецом Ра сам Детрие.
Археолог так живо представил себе все это, что передернул плечами.
Тень колонны ушла. Археологу пришлось пересесть, чтобы укрыться от палящих лучей.
Несколько раз он возвращался в зал, граничивший с комнатой колодца Лотоса. Из нее не раздавалось ни звука.
Мучительно хотелось есть. Детрие, как истый француз, был гурманом. Он рассчитывал вкусно пообедать со своим гостем и никак не ожидал его новой эксцентрической выходки — лишить себя, да и его, обеда из-за решения древней задачи!
Они должны были поехать во французский ресторан мадам Шико. Турки особенно любили посещать его из-за пленительной полноты (в их вкусе) хозяйки. Она, верно, уже заждалась, исхлопоталась. Вчера она согласовывала с Детрие замысловатое меню, которое должно было перенести друзей на бульвар Сен-Мишель или на Монмартр. Креветки, нежнейшие креветки, доставленные в живом виде из Нормандии, устрицы. И белое вино к ним. Спаржа под соусом из шампиньонов. Буйа-бесс — несравненный рыбный суп. Бараньи котлеты с луком и картофелем по-савойски — или бургундские бобы. И вина! Тонкие французские вина, для каждого блюда свои: белые или красные. Наконец, сыры! Целый арсенал сыров, радующих сердце француза! Это на тот случай, если господа не наелись и хотят закрепить ощущение сытости в желудке. И потом… кофе й сигары во время задушевного послеобеденного разговора.
Ждать уже не было сил. Детрие решил хоть силой вызволить друга из заточения и решительно направился в зал. Однако насилия не понадобилось. Еще не войдя в зал, он услышал стук. Из окошечка выпал камень и лежал теперь под ним на полу.
Детрие нагнулся, чтобы поднять, его.
О боже! На нем медным зубилом были нацарапаны, кощунственно нацарапаны на бесценной реликвии какие-то цифры.
Детрие, возмущенный до глубины души, поднял камень и прочитал: «d = 1,231 меры».
В «замурованном» проеме стоял сияющий граф де Лейе. Его узкое бледное лицо, казалось, помолодело.
Археолог с упреком протянул ему камень:
— Ты исцарапал реликвию!
— Иначе мы не смогли бы обедать, — обезоруживающе заявил математик и улыбнулся совсем по-мальчишески.
— Но я не могу проверить, — развел руками Детрие.
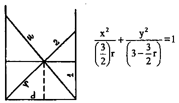
— Боюсь, что ты, археолог, не больше древних жрецов разбираешься в аналитической геометрии. Но все же смотри. Войдем в склеп. Я все написал там на полу. Внимай! Назовем расстояние от точки пересечения тростинок до конца короткой тростинки на дне через r. Теперь представим, что тростинка скользит одним концом по вертикали, а другим по горизонтали (по дну колодца). Из высшей математики известно, что точка на расстоянии r будет описывать эллипс. Я записал уравнение этого эллипса. Вот оно:

И граф показал на исчерченный пыльный пол.
— Теперь все очень просто, — продолжал он. — Нужно решить это уравнение для у = 1 и x = r2 - 1 — величина проекции мокрого отрезка длинной тростинки. Получаем уравнение. Правда, четвертой степени, к сожалению, 5r4 — 20r3 + 20r2- 16r + 16 = 0. Как это тебе нравится? Красивое уравнение?
Детрие почесал затылок, рассматривая чертеж на полу и написанные на нем формулы.
— И такие уравнения решали древнегреческие жрецы? — с сомнением произнес он.
— Ничего не могу сказать. Совершенная загадка! Нам, математикам двадцатого века, решить такое уравнение под силу только потому, что, к нашему счастью, формулы для корней такого уравнения были получены в шестнадцатом веке итальянским математиком Феррари, учеником Кардано.
— И ты решил?
— Разумеется. Считай меня отныне жрецом бога Ра и достань откуда-нибудь из музея соответствующее одеяние. Обещаю появиться в нем в Булонском лесу.
Детрие посмотрел на исцарапанный камень.
— Диаметр равен 1,231 меры?
— Именно! К сожалению, мы не знаем, какая она была. Дай мне найденные здесь ободья, и я скажу тебе, каково численное выражение этой меры в современном исчислении. Скорее всего это был неведомый царский локоть древних египтян.
— Увы, я уже признавался тебе, что ободья не сохранились, так же как и тростинки. Именно поэтому ты не сможешь стать жрецом бога Ра.
— Как так? — возмутился граф де Лейе.
— В надписи сказано, что жрецом станет тот, кто, решив задачу и сообщив ответ, выйдет из камеры с тростинками. А тростинок у тебя нет. Какой же ты жрец?
И оба француза расхохотались.
Проводник уступил свою лошадь археологу, и ученые поехали к ресторану мадам Шико.
— Дорого бы я дал за то, чтобы узнать, — сказал математик, придержав коня, чтобы оказаться рядом с археологом, — как они умудрялись три с половиной тысячи лет назад решать уравнение четвертой степени.
— А может быть, у них был какой-то другой способ? — усомнился археолог.
— Ты шутишь! — рассмеялся граф де Лейе, — Это невозможно. — И он пришпорил лошадь.
Когда жрецы с бритыми головами без париков ввели черноволосого юношу в «Зал Стены», его охватила дрожь.
На гранитной плите грозной преградой перед ним встала НАДПИСЬ.
Он познавал жуткий смысл иероглифов, и колени его подгибались. Если бы Прекраснейшая знала, на что он обречен! Своей божественной властью она спасла бы его, отвратила бы от него неизбежную гибель, уготовленную бессовестными жрецами, так обманувшими Ее!..
«СКВОЗЬ СТЕНУ КОЛОДЦА ЛОТОСА ПРОШЛИ МНОГИЕ, НО НЕМНОГИЕ СТАЛИ ЖРЕЦАМИ БОГА РА. ДУМАЙ. ЦЕНИ СВОЮ ЖИЗНЬ. ТАК СОВЕТУЮТ ТЕБЕ ЖРЕЦЫ РА».
Совет жрецов! Совет нечестивости! Удар копьем в спину, а не совет!..
Если бы знала Прекраснейшая о существовании «Зала Стены», о колодце Лотоса, об этой надписи и неизбежной теперь судьбе ее юного друга, которого через три тысячи ударов сердца заживо замуруют в каменном колодце Смерти!..
Юноша тупо смотрел, как жрецы вынимали из Стены тяжелые камни, чтобы потом, когда он «пройдет сквозь Стены», водворить их на место, отрезав его от всего мира, оставив без еды и питья в каменном мешке, его, живого, сильного, ловкого, которого любила сама Прекраснейшая, подняв его из пыли, когда он целовал следы Ее ног!.. Могла ли подумать живая богиня, что жрецы Амона-Ра предадут Ее? Не они ли по воле Ее отца Тутмоса I после кончины Ее супруга и брата Тутмоса II возложили на голову Прекраснейшей бело-красные короны страны Кемт? Не они ли присвоили Ей мужское имя «Видящего истину Солнца» — Маатка-Ра, которое не смел произнести вслух ни один смертный? И не они ли отвергли притязания на престол юного мужа Ее дочери, которая при жизни матери не могла наследовать фараонову власть и передавать ее супругу? И не жрецы ли Амона-Ра объявили святотатством богослужение жрецов Тота Носатого, провозгласивших самозванца фараоном Тутмосом III? И вот теперь…
Ужель жрецы Амона-Ра устрашились женской любви Божественной к низкорожденному, поднятому Ею из праха, в котором надлежало лежать, распластавшись на земле, каждому неджесу или роме, свободному или коренному жителю страны Та-Кемт?
О чем можно передумать за три тысячи ударов сердца? Какие картины короткой своей жизни снова увидеть?
Дом родителей, простых нечиновных роме на берегу царицы рек Хапи. Ночи на плоской кровле с любимой звездой Сотис на черном небе. Пыль окраин Белой стены (Мефиса), где только улицы перед дворцами и храмами залиты вавилонской смолой, глушившей стук копыт и шум колес. Тайная дружба с детьми домашних рабов, и рабы в каменоломнях, измученные, безучастно терпеливые к побоям и окрикам надсмотрщиков. Детские игры со щенком гиены в каменоломне предков, из которой уже взяли весь ценный камень. Уединение в заброшенном каменном карьере, где он, еще мальчишка, пробовал высечь голову прекрасной женщины. Она жила в его незрелой мечте. И когда, уже повзрослевший, способный перегнать любого из эфиопских скороходов, бежавших впереди колесницы властителя, побороть любого из ее стражей и соперничать с ваятелями любого храма, он увидел Ее, Прекраснейшую, то узнал в ней свою Мечту. Она снизошла до того, чтобы посмотреть игры юношей, и отметила его среди победителей. Он лежал в пыли у Ее ног и надеялся поцеловать след несравненной ноги, изваять которую достоин лишь лучший из оживляющих камень.