Основы кибернетики предприятия - Страница 121
Процессы выравнивания представляют собой основу для правильной трактовки динамики системы. Выравнивание позволяет исключить кратковременные шумы и помехи. Но процесс выравнивания неизбежно вводит запаздывания в информационные каналы и в сферу принятия решений. Выравнивание изменяет чувствительность системы к колебаниям данных с различной периодичностью. Это — свойство выравнивания. Следовательно, процесс выравнивания искажает либо в лучшую, либо в худшую сторону информационные потоки в системе.
Выравнивание всегда является компромиссным процессом. Здесь всегда существует дилемма: или в большей степени выравнять информацию, чтобы уменьшить вредный шум/ или выравнять ее в меньшей степени, но зато сократить время запаздывания информации. Процесс выравнивания характеризуется двумя показателями: уменьшением кратковременных, но значительных по величине колебаний и возникновением запаздывания во времени. Они будут проанализированы после рассмотрения двух общепринятых способов выравнивания.
Проблема выравнивания сама по себе является сложной и большой проблемой. Здесь мы рассмотрим только наиболее простые положения.
Выравнивание представляет собой процесс рассмотрения ряда данных за прошедший интервал времени с целью выявления основного, определяющего их содержания, характеризующего значение рассматриваемой величины в текущий момент времени. Методы выравнивания могут изменяться в широких пределах в зависимости от того значения, которое мы придаем данным за различные периоды времени в прошлом. Здесь мы рассмотрим два метода выравнивания: метод равномерного выравнивания и метод экспоненциального выравнивания. При равномерном выравнивании каждой величине временного ряда придается одинаковая значимость. «Средняя величина продаж в течение последних 8 недель» является средней арифметической. Продажи за 8 недель складываются вместе (одинаковая значимость), и общую сумму делят на 8. Средняя величина могла бы определяться следующим образом:
Средняя арифметическая =
где
S1 — соответствует последней неделе;
S2 — предшествующей ей, более ранней неделе и т. д.
Средние арифметические величины обычно используются в тех областях, где располагают официальными статистическими средними данными. Недельные, месячные и годовые уровни, характеризующие функционирование системы, являются средними величинами в том смысле, что в них придают одинаковый вес всем данным, включенным в рассматриваемый интервал. Так как эти средние величины подсчитываются через большие интервалы времени, равные периоду усреднения, то их следует рассматривать как прерывистые или отдельные величины.
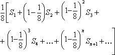
Другим известным методом выравнивания, рассматриваемым ниже, является экспоненциальное выравнивание. В этом случае данным придают прогрессивно уменьшающееся значение по мере того, как эти данные относятся ко все более ранним интервалам времени. Значимость данных за прошедшие промежутки времени устанавливают по экспоненциальному закону, то есть значимость каждой предшествующей величины уменьшается в одно и то же число раз. Например, экспоненциальная средняя при постоянной времени усреднения в 8 недель применительно к полным недельным продажам может быть вычислена следующим образом:

где
S1 — величина продаж за последнюю целую неделю,
S2 — за предшествующую ей, более раннюю неделю и т. д.
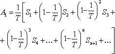
В общем случае при постоянной времени выравнивания в Т недель экспоненциальная средняя величина будет определяться следующим образом:

Следует отметить, что принципиально каждая прошлая величина оказывает свое влияние на значение средней величины. Однако практически коэффициенты, определяющие значимость последних членов, становятся настолько малыми, что влияние этих членов оказывается несущественным, и ими можно пренебречь. Сумма коэффициентов ряда
при непрерывном увеличении числа его членов стремится к величине Т. Следовательно, при постоянном уровне продаж в каждом прошлом периоде средняя величина стремится, как и следовало ожидать, к той же самой величине.
При экспоненциальном выравнивании наибольший вес придается самым недавним величинам, и убывающие по прогрессии значения — наиболее устаревшей информации. Этот процесс ближе к интуитивному методу нахождения средних величин, чем процесс определения равномерной средней величины. Эта форма выравнивания достаточно удобна для отображения реальных условий и влияний в модели системы.
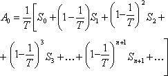
Экспоненциальная средняя имеет практическое преимущество по сравнению со средней арифметической величиной при использовании вычислительных машин. Экспоненциальную среднюю величину гораздо легче рассчитать, чем среднюю арифметическую. Средняя экспоненциальная величина в момент времени, равный единице, согласно ранее изложенному, равна

где величины 5 представляют собой прогрессивно устаревающие значения переменной (например, продаж), которая усредняется. Индексы обозначают время в прошлом. В последующий интервал, когда время равно 0,

Эта величина равна сумме нового члена и ранее определенной средней величины А1, умноженной на соответствующий экспоненциальный коэффициент; следовательно,
Каждое новое значение средней может быть рассчитано на основе значения средней за предшествующий период и нового значения переменной, которая выравнивается. Ранним, предшествующим значением средней величины можно затем пренебречь, и в дальнейшем следует иметь дело только с одним числовым значением средней, а не с длинным рядом более ранних данных. Последняя форма аналогична использованной в уравнении 13-8, где мы установили, что интервал между решениями не обязательно должен быть таким же, как единица времени, использованная для определения постоянной времени усреднения Т. Суммарная коррекция прежней средней величины для каждого интервала решения будет равна вышеприведенной величине, умноженной на продолжительность интервала решения. Экспоненциальная средняя, обобщенная для любого интервала решения, принимает форму:
B-1, L
где
А — среднее значение величины S (те же единицы измерения, что и S);
DT— интервал решения (единицы времени);
Т — постоянная времени экспоненциального выравнивания (единицы времени);
S — переменная величина, которая подвергается выравниванию (в соответствующих единицах измерения).
Схематически экспоненциальное выравнивание показано на рис. B–1. В начале вычислений, в момент времени К, известно старое значение средней величины A.J. Выравниваемая величина обозначена S.JK. Разность (S.JK — A.J), входящая в уравнение В-1 и обозначенная х, будучи умноженной на 1/T, дает необходимую коррекцию для каждой целой единицы времени; умножая затем эту величину на DT, мы определим коррекцию на данном интервале решения у.

Рис. В-1. Экспоненциальное выравнивание.
Теперь мы остановимся на рассмотрении запаздываний в потоках информации, которые возникают в результате ее усреднения. Сопоставим уравнение В-1 с обычной парой уравнений, используемых для отображения экспоненциального запаздывания первого порядка.