Ньютон. Закон всемирного тяготения. Самая притягательная сила природы - Страница 9
В первые месяцы после приезда в Вулсторп ученый все свое время посвящал математическим размышлениям, на основании которых он вывел принцип анализа бесконечно малых. Окончательно этот принцип будет оформлен через три-четыре года. В начале 1666 года Ньютон стал также заниматься вопросами, связанными с механикой. Вдохновленный трудами Декарта и Галилея, он начал разрабатывать то, что позже назовет принципом инерции: тело продолжает сохранять состояние движения, пока на него не действуют другие силы.
Вслед за Декартом Ньютон начал изучать круговое движение и попытался решить задачи, поставленные теорией Коперника и касающиеся движения Земли и других планет, – они были собраны Галилеем в его «Диалогах». Ньютон поставил вопрос о движении планет в рамках декартовой теории вихрей, которую он самостоятельно изучил в годы, предшествующие учебе в Кембридже. Он исходил из закона прямолинейной инерции и пары «притяжение – центробежная сила» для изменения прямых траекторий, так же, как это сделал нидерландский астроном и математик Христиан Гюйгенс (1629-1695). Гюйгенс первым количественно выразил стремление тел удаляться от центра при круговом движении. В своей работе «О центробежной силе» (De vi centrifuga), опубликованной в 1673 году, он назвал эту тенденцию центробежной силой и с ее помощью пытался объяснить такие природные феномены, как движение света и притяжение тел. Таким образом, сначала Ньютон придавал большее значение стремлению планет отдаляться (центробежная сила), чем силе притяжения Солнца. Использовав третий закон Кеплера, он смог открыть, что центробежные силы, порождаемые планетами, изменялись обратно пропорционально квадрату их расстояний до Солнца.
ЛУННЫЕ ГОРЫ
В своей работе «Звездный вестник» (Sidereus Nuncius) (1610), проведя серию наблюдений при помощи телескопа, Галилей заявил, что на Луне существуют горы, опровергнув таким образом тезис Аристотеля о том, что небо совершенно, а Луна – это гладкая и неизменная сфера. Другие наблюдения ученого из Пизы, свидетельствующие в пользу тезисов Коперника, были следующими: сезонные изменения пятен на Солнце подтверждают, что ось вращения Солнца наклонена; звезды не увеличиваются в размере (что, напротив, происходит с планетами), и это доказывает гипотезу о существовании огромного расстояния между Сатурном и неподвижными звездами; у Юпитера есть спутники (возможно, это самое значительное открытие Галилея), и это означает, что не все небесные тела вращаются вокруг Земли; фазы Венеры, связанные с изменением размера звезды, доказывают, что она вращается вокруг Солнца.

Слева – фазы Венеры, определяемые гелиоцентрической орбитой планеты и подтвержденные наблюдениями Галилея. Справа – фазы планеты в соответствии с геоцентрической моделью.
Однако стоит более подробно описать путь, которым шел Ньютон в своих исследованиях планетарного движения, пытаясь найти связь между центробежной силой и квадратом расстояния.
Предположим, что тело массой m движется с постоянной скоростью v по окружности с радиусом r. Ньютон рассчитал, что полная сила при равномерном круговом движении стремится к 2пи mv. Если теперь рассчитать не полную, а мгновенную силу (разделив на время полного оборота 2пи r/v), получаем
Эту формулу центробежной силы, из-за которой тело, совершающее равномерное круговое движение, в каждый момент времени стремится от центра, мы используем при расчете подобного кругового движения.
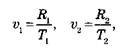
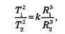
Ньютон воспользовался третьим законом Кеплера, чтобы найти центробежную силу, благодаря которой планеты отдаляются от Солнца. Пусть Т1 и Т2 – это периоды обращения планет вокруг Солнца, a R1 и R2 – их средние расстояния до Солнца. Третий закон Кеплера утверждает, что квадраты периодов обращения планет относятся как кубы радиусов:
где k – общий коэффициент пропорциональности. Добавим теперь скорости, с которыми двигаются планеты, v1 и v2 ; по формуле, приведенной выше, результаты для соответствующих центростремительных сил равны:
и, таким образом,

Принимая во внимание, что скорости – это частное расстояния и времени, получаем:

подставим это в предыдущую формулу и получим:

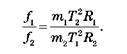
В итоге, применив третий закон Кеплера, Ньютон получил:

Вынеся за скобки множитель, который учитывает массы, Ньютон пришел к выводу, что центробежные силы обратно пропорциональны квадрату расстояний:

Возможно, Ньютон начинал подозревать, пока более или менее туманно, что яблоко заставляет падать то же притяжение, которое держит Луну на орбите возле Земли, однако от этого момента до открытия всеобщего закона тяготения должно пройти еще много времени, полного тяжелой работы и бессонных ночей. Сначала Ньютон пытался сравнить ускорение, придаваемое центробежной силой и заставляющее Луну двигаться, и ускорение тяготения на земной поверхности; и снова ученому помог его талант экспериментатора: он смог обнаружить точные значения, когда с помощью наклонных поверхностей измерял скорость падения тел на Землю.
ДЕКАРТОВЫ ВИХРИ

Часть пластины, изображающей декартовы вихри, включенной в книгу «Математические начала натуральной философии».
Рене Декарт выдвинул точку зрения, что своим движением планеты обязаны действию неких вихрей. Эта механистическая теория была опубликована в «Математических началах натуральной философии» (1644) и предполагала, что пространство занято невидимым потоком, который, двигаясь, создает гигантские небесные вихри.
Солнце, по теории Декарта,- центр одного из таких вихрей, и поэтому оно тянет за собой планеты, которые, в свою очередь, являются центрами других, более маленьких вихрей, воздействующих на Луну и другие спутники. Эта идея была достаточно сильной, потому что объясняла движение тел без видимого воздействия сил, при этом она наследовала аналогию с речными водоворотами, которая уже применялась в Древней Греции Левкиппом и, позднее, Эпикуром. Но если силы не действуют на расстоянии, как тогда объяснить падение тел на Земле? Декарт считал Землю гигантской центрифугой, а «сила, с которой небесная материя, более легкая, стремится удалиться от центра Земли, не может иметь воздействия; если частицы небесной материи отдаляются, они не достигают некоторых земных участков, которые в то же время нисходят, пока не займут место, освобожденное частицами небесной материи». Ньютон защищал точку зрения, согласно которой планетам на орбитах для сохранения движения необходимо только притяжение к Солнцу, но не сила, двигающая вперед.