Ньютон. Закон всемирного тяготения. Самая притягательная сила природы - Страница 16
Достижения Ньютона и Лейбница были уточнены и дополнены последующими математиками, такими как Огюстен Луи Коши (1789-1857) или Карл Вейерштрасс (1815-1897), и легли в основу дифференциального и интегрального анализа – области математики, которая изучает количественное изменение так же, как геометрия изучает формы, и используется при решении огромного количества технических и физических задач.
Анализ бесконечно малых является самым мощным и эффективным инструментом, когда-либо созданным математиками, он состоит из двух разделов: дифференциального (его основное понятие – производная) и интегрального исчисления.
ПРОИЗВОДНАЯ
Производная – это фундаментальное понятие не только дифференциального исчисления или математики, но и всей науки в целом. Этот термин объединяет скорость или силу в физике, тангенс в геометрии…
В общих словах производная – это мера того, как изменяются значения функции в зависимости от значений, которые принимают ее переменные. Например, если у нас есть функция, описывающая положение объекта в каждое мгновение времени, то производная этой функции будет описывать, как меняется положение объекта в разные моменты времени (учитывая скорость объекта).
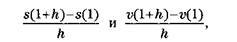
Рассмотрим две функции: с одной стороны – функция s, которая в каждый отрезок времени t определяет расстояние s(t), проходимое телом; с другой – функция v, которая в каждое мгновение времени t определяет скорость v(t), с которой тело движется. Рассмотрим следующее выражение: s(t) = sqrt(t) и v(t) = t² . Обе функции принимают значение 1 при t = 1: s(1) = 1 и v(1) = 1. Однако таблица значений показывает, что вблизи значения t = 1 функции изменяются по-разному.
t
s(t)
v(t)
0,8
0,8944
0,64
0,9
0,9486
0,81
1
1
1
1,1
1,0488
1,21
1,2
1,0954
1,44
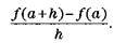
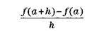
Видно, что функция v меняется сильнее, чем функция s. Чтобы определить это изменение – то есть определить производную, – возьмем некоторое число а и число а + h и сравним, как изменяются разности ƒ(a + h) – ƒ(a), с одной стороны, и a + h – а = h, с другой стороны. Затем определим частное:
Используя формулы функций s(t) = sqrt(t) и v(t) = t² , определим значение частного при а = 1 и различных значениях h.
h
s(1+h)-s(1)/h
v(1+h)-v(1)/h
-0,01
0,5012
1,99
-0,001
0,5001
1,999
0,001
0,4998
2,001
0,01
0,4987
2,01
Результат для функции v близок к 2, в то время как для функции s – около 0,5, и это подтверждает данные первой таблицы, где мы заметили, что функция v менялась сильнее, чем функция s. Теперь нас интересует значение частного
при h = 0, то есть когда а + h совпадает с a. Это значение мы назовем производной ƒ в точке а и, вслед за математиком Жозефом Луи Лагранжем (1736-1813), обозначим его ƒ'(a). Как можно убедиться, результат вычислений будет равен 0/0, то есть не имеет смысла.
Однако этот результат лишь кажется абсурдным, поскольку, как показывает предыдущая таблица для наших функций s(t) = sqrt(t) и v(t) = t² , когда h – маленькое число, хотя и стремящееся к нулю, оба частных,
вполне имеют смысл и похожи на уже полученные значения: 0,5 для функции s(t) = sqrt(t), и 2 – для функции v(t) = t². Немного дальше мы увидим, что на самом деле эти значения совпадают с производными обеих функций в точке 1: s'(1) = 0,5, v’(l) = 2.
Однако деление на ноль, с которым столкнулись при вычислении производной ученые XVII века, представляло некоторую сложность, которая появлялась каждый раз, когда они пытались вычислить, например, касательную к кривой или мгновенную скорость при известном расстоянии, пройденном движущимся телом.
Следует иметь в виду, что до появления анализа бесконечно малых (а произошло это в конце XVII века) могли изучаться только самые простые виды движения: равномерное движение, при котором пройденное расстояние линейно зависит от времени, скорость постоянна и отсутствует ускорение, или равномерно ускоренное движение, когда пройденное расстояние пропорционально квадрату времени и, таким образом, скорость пропорциональна времени и постоянному ускорению.
Изучение последнего вида движения, которое наблюдается, например, при падении тела под воздействием силы тяготения, потребовало всех мыслительных способностей гениального Галилея, который вник в сущность явления за несколько десятилетий до того, как благодаря анализу бесконечно малых изучение этого типа движения стало относительно простым.
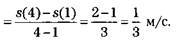
Вернемся к одному из наших примеров: тело в движении прошло расстояние s(t) = sqrt(t) за время t (время мы измеряем в секундах, а расстояние – в метрах). Расчет средней скорости, с которой двигается тело, – задача легкая: например, за период времени между 1 и 4 секундами средняя скорость будет равняться результату деления пройденного расстояния на затраченное время:
Средняя скорость
Но что произойдет, если вместо средней скорости за интервал времени мы захотим измерить мгновенную скорость, с которой движется тело в конкретный момент? Для простоты представим, что мы хотим измерить эту скорость именно в тот момент, когда наступает первая секунда движения. Для этого возьмем изменение времени h и посчитаем среднюю скорость между 1 и 1 + h.
Средняя скорость

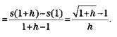
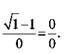
Чтобы посчитать мгновенную скорость в первую секунду, достаточно приравнять h к нулю. Но тогда, как и ранее, мы получим не имеющий смысла результат:
Мгновенная скорость в момент времени 1 =

Это происходит потому, что мгновенная скорость соответствует значению производной функции, которая измеряет расстояние s(t) = sqrt(t) при t = 1.
Предыдущая таблица показывала, что значение этой производной должно быть 0,5. Теперь посмотрим как, используя предыдущее выражение, мы можем выполнить кажущееся бессмысленным деление на ноль и получить ожидаемое значение:
Средняя скорость
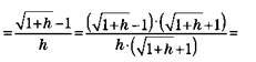
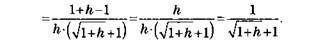
Далее умножаем числитель и знаменатель на sqrt(1+h) + 1 и сокращаем:
Средняя скорость

Если в этом выражении мы приравняем значение h к нулю, задача меняется, и при h = 0 отсутствует деление на ноль. Как и подсказывала таблица, частное при h = 0 составляет 0,5. В физических терминах это означает:
Мгновенная скорость в момент времени
Таким образом, от бессмысленного деления нуля на ноль мы пришли к заключению, что если тело проходит sqrt(t) метров за t секунд, то за 1 секунду оно движется со скоростью: