Непростой Путь Про-Героя. Том 3 (СИ) - Страница 53

Изменить размер шрифта:

Непростой Путь Про-Героя. Том 3 (СИ) - img_45

«Копье».

Непростой Путь Про-Героя. Том 3 (СИ) - img_46

Неджире Хадо в платье. Качество: редкое.

Непростой Путь Про-Героя. Том 3 (СИ) - img_47

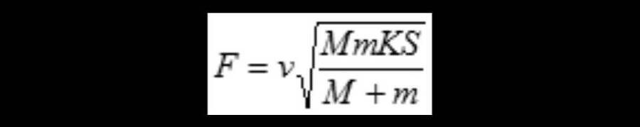
[*] — Более понятный вид формулы по расчету силы удара из размышлений Нирена. Не забывайте про корень!

Соус: http://real-strike.com/teorija_udara_bi.php — приятного чтения:)

Примечание автора 1:

Собираю лайки в поддержку окончания восемнадцатой главы и начала спортивного фестиваля! Правда, будьте осторожны — ходят слухи, что культисты секты Неджире Хадо где-то рядом…

Примечание автора 2:

Момент в финале части, с которого и начнется следующая, мной продуман. Ни канве фанфика, ни концепции моего творчества, ни канону манги — не больше, чем сам фанфик про попаданцев и вот это вот все — он не противоречит. Разгадать суть случившегося вам придется самостоятельно. Я не буду давать никаких подсказок к тому, что, кто и как (помимо тех, которые уже были даны вам к этому моменту), и на вопросы по этому моменту отвечать тоже не буду. Временных рамок у разгадки нет, как нет и простого ответа. Если я увижу правильную версию интерпретации этого события в комментариях, я, разумеется, дам об этом знать. Спасибо:)

Глава 18

Часть XVI

С опозданием начало колотиться сердце.

Взаимодействие с фантомом длилось буквально секунду-две, и только после его окончания беспомощный организм принялся закачивать в кровь уже бесполезный и лишний адреналин.

Я протяжно выдохнул. От попытки схватиться за голову меня остановило только мороженое в руках — и необходимость держать контролировать окружение.

Сука! Готовый к бою ваннаби-герой, который две недели назад едва пережил террористический акт от группировки злодеев, застыл со стаканчиками десерта в своих корявках! Что за хрень, Нирен⁈ Да тебя бы убили уже десяток раз, если бы хотели! Если бы эта страхолюдина хотела тебя… или если бы смогла… да она бы тебя на атомы распылила бы, пока ты, бл*ть, думал, куда тебя лакомство поставить! А-а-а-а! Придурок!

Ладно. Ладно. Что… нет. Кто это был? Черная фигура? Красное отверстие на ладони?

Все-для-Одного?

Мне больше никто в голову не приходит. Но… тогда что он тут делал? Какая-то поисковая способность? Она его на меня вывела? Или он не успел ничего сделать?

Или… он добился того, чего хотел?

Я прислушался к своим ощущениям, по-прежнему стоя посреди тропинки на солнцепеке, слишком распсиховавшись, чтобы отойти, сесть на скамейку или хотя бы поставить угощение.

Вроде бы со мной все окей. Не ощутил никакого воздействия.

Силуэт возник и исчез, будто его и не было. И не видел его никто, кроме меня.

Может быть… это и не был человек? Некое… знамение? Видение?

— Нирен?

Я вздрогнул, отчего руки, по которым стекало молоко из сжатых стаканов, дернулись.

Шмяк.

— Ты как? Все хорошо? Ты что-то видел? — неуверенно спросила Неджире.

— Я… не уверен, — хрипло отозвался я.

Потом тупо перевел взгляд на свою «драгоценную ношу», из-за которой мог сдохнуть.

А ее нету. Мороженое-то шлепнулось мне под ноги.

— Ой… — тихо сказала Неджире, глядя туда же. И столько искреннего расстройства и вселенской печали, что мое сердце не выдержало.

Я молча направился обратно к киоску.

Девушка приобняла меня за руку, рассмеявшись.

Стало чуть легче.

На душе легчало соразмерно кошельку, так что с новыми порциями мороженого в руках я уже был в состоянии адекватно мыслить.

Чуть было сам не начал верить в собственную легенду, которую рассказал Всемогущему. Мол, вижу будущее, знаю события, слышал про его архиврага…

Чушь. То есть, сам факт моего перерождения здесь, как и Киотаки, как, возможно, и кого-то еще ничем не лучше, однако это — реальность, с которой мы имеем дело. Фантом — нечто другое. Если его появление можно объяснить логично, это цепочка умозаключений должна укладываться в известную мне картину мира, а не быть взята с потолка.

Я подошел к тому месту, где, вернее, над которым возник черный фантом. Присел на корточки, рассматривая эту точку.

Ага.

Кружок пожухлой, будто выжженной травы не позволил мне усомниться в собственном рассудке. Это не галлюцинация, это реальное событие. А значит, есть и объяснение.

— Неджире, ты видишь?

— Да… как странно! Она будто выгорела под солнцем, да? Но ведь здесь нельзя мангалы устанавливать… задумчиво протянула девушка, задумчиво приложив пальчик к губам, — Нирен, а ты любишь барбекю? Я — обожаю!

— Тут был злодей, Неджире. Возможно, — я не колебался, сообщать ли Неджире свои подозрения. Сообщать. У нее геройская лицензия, опыт двух лет противостояния злодеям, полет и мощная причуда. Уж скорее это за меня стоит переживать.

— Что ты видел? Он представился, угрожал, обозначал цели? — мгновенно посерьезнела и как-то подобралась девушка, подлетев ближе и осмотревшись.

— Нет, ничего не говорил… вернее, что-то прохрипел, но я не разобрал. Только использовал причуду. Телепортация, синяя вспышка. Но выглядел угрожающе — черный силуэт, красные глаза, полет. Возможно, какая-то маскировка — ни лица, ни одежды не видно.

— Поняла. Но, Нирен, не помню никого похожего среди преступников в реестре…

Ни героев, ни полицию поставить в известность я не мог. Не в этом обществе — страшный внешний вид никак не может являться основанием для каких-либо превентивных действий. Соврать? А соврать что? Если бы я знал, кто это… если бы я имел хотя бы какую-то зацепку…

Тем не менее, ощущение тревоги никуда не делось.

Я поднялся на ноги.

— Да. Я тоже. Просто будь начеку, ладно?

Следующий час или около того мы усердно катались на аттракционах. Поначалу я ждал нападения каждое мгновение, но его так и не происходило, и вообще не происходило ничего подозрительного, вопреки время от времени возникающему ощущению тревоги и чьего-то взгляда в спину. Все было хорошо.

А Неджире помогла мне как-то… перезагрузиться. Развязать напряженные нервы, которые спутались в клубок. Она попросила не пытаться контролировать каждую мелочь и, пока я искал ответы помимо «А как иначе-то?», рассказала про себя. Что в школе и на первом курсе Неджиро Хадо, этот ветреный шарик позитива, была прям как я.

«Я ни с кем не общалась и ни на кого не рассчитывала, только на себя. Всегда плохого ожидала. И сидела за партой одна-одинешенька, такая смурная и надутая!» — и Неджире демонстрировала, какой смурной и надутой она когда-то была. — «Не поверишь, но я даже хуже была, чем ты сейчас!»

Я и не верил. В голове не укладывалось, просто не мог ее такой представить. Однако… пожалуй, это даже добавляет веса ее личности. Одно дело, когда человек от природы ко всему легко относится, и совсем другое — когда это результат работы над собой и смены установок и приоритетов.

Увы, я пока так не могу… не могу как человек — и не могу себе позволить.

Вот только не понял, почему каждый раз, когда я упоминал в разговоре Большую Тройку сильнейших студентов Юэй, к которой она вроде как принадлежит, Неджире хихикала. Это потому что этот Тогата еще «официально» туда не вошел? Но она ведь сама про него говорила…

* * *

Часам к пяти дня мы поперекатались на всем, на чем можно было, и у Неджире осталось всего одно желание — посмотреть фейерверки.

Стоило признать, я и сам был бы не прочь: девушка очень хорошо смотрелась в своем платье в тон волосам, и оставалось лишь гадать, как сказочно она будет выглядеть в свете праздничных фонарей и разноцветной россыпи искр на небе. Как фея, наверное. Может, и до поцелуев дошли бы…

Оригинальный текст книги читать онлайн бесплатно в онлайн-библиотеке Knigger.com