Мир математики. т.4. Когда прямые искривляются. Неевклидовы геометрии - Страница 28
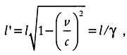
Затем была выдвинута гениальная идея: в некотором смысле скорость вращения Земли «уменьшила расстояние в направлении движения» ровно настолько, чтобы результаты в двух частях эксперимента Майкельсона — Морли получились одинаковыми. Таким образом, если бы Земля двигалась почти со скоростью света, то в направлении движения она была бы плоской, похожей на блин. Расстояние l' в направлении движения связано с расстоянием l в направлении, перпендикулярном направлению движения, следующим образом:

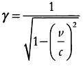
где множитель

называется фактором Лоренца — Фицджеральда.
Так как скорость света является очень большой (3 х 108 м/с), значение фактора Лоренца — Фицджеральда равно почти 1, пока скорость v меньше 10 % от скорости света.
Почему Майкельсон и Морли не смогли измерить уменьшение длины в направлении движения? Потому что когда линейка расположена в направлении движения Земли, длина линейки тоже сокращается. Теория сокращения никогда не может быть доказана прямыми измерениями.
Если бы мы могли делать высокоскоростные фотографии, могли бы мы увидеть, что мяч, летящий почти со скоростью света, принимает форму блина? Нет, даже стоп-кадр не позволит нам это рассмотреть. Почему? Это объясняется тем, что оптические искажения компенсируют уплощение формы.
Человеческий глаз и объектив фотокамеры улавливают частицы света, фотоны, которые отражаются от объектов. Свету, идущему от очень удаленных объектов, может потребоваться много времени, чтобы достичь наших глаз. Например, свет доходит от Солнца до Земли за 8 минут, а свет далекой звезды, возможно, шел к нам миллионы лет. С другой стороны, переднюю и более удаленную часть движущегося объекта мы видим одновременно, хотя свет от передней части был отражен немного раньше. Разница существует, и связана она с тем, что скорость света конечна. Объект действительно должен выглядеть удлиненным в направлении движения, но этот эффект растяжения компенсируется эффектом сокращения в нашем восприятии.
Теория Лоренца — Фицджеральда была основана на сложной идее взаимодействия вещества с эфиром, но в конце концов ученые были вынуждены признать, что эфира не существует.
Через 24 года после эксперимента Майкельсона — Морли Эйнштейн понял, что скорость света не зависит от движения источника света или наблюдателя. Скорость Земли не может быть добавлена или вычтена из скорости света в опыте Майкельсона — Морли. Теория Эйнштейна предсказывает то же время, 2d/с, для обратного движения, независимо от расположения оборудования.
Кроме того, теория относительности также позволяет предсказать сокращение длины в направлении движения точно на величину фактора Лоренца — Фицджеральда. Однако при объяснении результатов эксперимента Майкельсона — Морли это сокращение длины не имеет ничего общего с эфиром или с теорией Лоренца.
Теория Эйнштейна вообще исключает необходимость эфира. Объяснить релятивистское сокращение длины можно в рамках самой теории относительности. Это объяснение заключается в относительном движении объекта и наблюдателя. Длина объекта, движущегося почти со скоростью света, уменьшается в направлении движения (хотя этот эффект мы не можем наблюдать, как уже говорилось). Для движущегося объекта, наоборот, именно мы кажемся летящими почти со скоростью света и похожими на плоский блин в направлении движения.
Другим следствием теории относительности является то, что время при движении тоже сокращается. Рассмотрим двух наблюдателей, которые движутся с постоянной скоростью v по отношению друг к другу. Каждый из них будет видеть, что часы у другого наблюдателя идут медленнее, чем его собственные, медленнее в γ раз. Этот странный результат известен как «парадокс времени».
Список литературы
Devlin, К.: The Language of Mathematics, New York, Freeman & Co., 1988.
Euclid: Euclid’s Elements, Translated by Thomas L. Heath, Santa Fe, Green Lion Press, 2002.
Издание на русском языке: Начала Евклида. / Пер. с греч. и комм. Д. Д. Мордухая-Болтовского под ред. М. Я. Выгодского и И. Н. Веселовского. — М.—Л.: ГИТТЛ, Т.1.1948; Т.2 1949; Т.З 1950.
Eves, Н.: Fundamentals of Modern Elementary Geometry, Sudbury, MA, Jones and Bartlett Publishers, Inc, 1992.
Faber, R. L.: Foundations of Euclidean and Non-Euclidean Geometries, New York, Dekker, 1983.
Garfunkel, S. (coord. COMAP): For All Practical Purposes, New York, Freeman, 2008.
Greenberg, M.J.: Euclidean and Non-Euclidean Geometries, New York, Freeman, 1993.
Jacobs, H.R.: Geometry, New York, Freeman, 2003.
Krause, E. F.: Taxicab Geometry, New York, Dover, 1988.
Parker, S.: Albert Einstein and the Laws of Relativity, New York, Chelsea House Publishers, 1994.
Smart, J.R.: Modern Geometries, California, Brooks/Cole, Pacific Grove, 1988.
* * *
Научно-популярное издание
Выходит в свет отдельными томами с 2014 года
Мир математики
Том 4
Жуан Гомес
Когда прямые искривляются. Неевклидовы геометрии
РОССИЯ
Издатель, учредитель, редакция: ООО «Де Агостини», Россия
Юридический адрес: Россия, 105066, г. Москва, ул. Александра Лукьянова, д. 3, стр. 1
Письма читателей по данному адресу не принимаются.
Генеральный директор: Николаос Скилакис
Главный редактор: Анастасия Жаркова
Старший редактор: Дарья Клинг
Финансовый директор: Наталия Василенко
Коммерческий директор: Александр Якутов
Менеджер по маркетингу: Михаил Ткачук
Менеджер по продукту: Яна Чухиль
Для заказа пропущенных книг и по всем вопросам, касающимся информации о коллекции, заходите на сайт www.deagostini.ru, по остальным вопросам обращайтесь по телефону бесплатной горячей линии в России:
8-800-200-02-01
Телефон горячей линии для читателей Москвы:
® 8-495-660-02-02
Адрес для писем читателей:
Россия, 170100, г. Тверь, Почтамт, а/я 245, «Де Агостини», «Мир математики»
Пожалуйста, указывайте в письмах свои контактные данные для обратной связи (телефон или e-mail).
Распространение:
ООО «Бурда Дистрибьюшен Сервисиз»
УКРАИНА
Издатель и учредитель:
ООО «Де Агостини Паблишинг» Украина
Юридический адрес: 01032, Украина, г. Киев, ул. Саксаганского, 119
Генеральный директор: Екатерина Клименко
Для заказа пропущенных книг и по всем вопросам, касающимся информации о коллекции, заходите на сайт www.deagostini.ua, по остальным вопросам обращайтесь по телефону бесплатной горячей линии в Украине:
0-800-500-8-40
Адрес для писем читателей:
Украина, 01033, г. Киев, a/я «Де Агостини», «Мир математики»
Украïnа, 01033, м. Киïв, а/с «Де Агостiнi»
БЕЛАРУСЬ
Импортер и дистрибьютор в РБ: