Мир математики. т.4. Когда прямые искривляются. Неевклидовы геометрии - Страница 27
Эта вторая формула является обобщением теоремы Пифагора из евклидовой геометрии на плоскости, в то время как первая формула со знаками минус в евклидовой геометрии не встречается.
Через десять лет после публикации специальной теории относительности Эйнштейн сформулировал общую теорию относительности, которая снова потрясла научный мир. Одной из его революционных идей была мысль о том, что наше пространство искривлено. Другими словами, лучи света, которые всегда выбирают кратчайший маршрут, не распространяются по прямой линии, а изгибаются, что является кратчайшим расстоянием в искривленном пространстве. Лучи света изгибаются в разной степени в зависимости от области пространства: в сильном гравитационном поле они искривлены сильнее.
Это явление было экспериментально доказано в 1919 г. во время полного солнечного затмения. Во время затмения лучи света от далекой звезды, проходящие очень близко от Солнца, могут быть подробно изучены. Эйнштейн оказался прав, лучи были искривлены. Было также доказано, что прогнозы гения оказались очень близки к расчетам, сделанным на основе реальных данных, собранных в ходе наблюдения. Прямые линии в геометрии общей теории относительности отличаются от евклидовых прямых.
Какую из геометрий, рассмотренных в этой книге, использовал Эйнштейн? Как всегда в мире неевклидовых геометрий, простого ответа нет. Во-первых, понятие искривленного пространства берется из эллиптической геометрии, в которой прямые линии во Вселенной замкнуты. Во-вторых, Эйнштейн использовал вариант геометрии Минковского, в которой формула для расстояния учитывает физические условия в разных точках Вселенной в зависимости от силы гравитационного поля. Альберт Эйнштейн отметил роль неевклидовых геометрий в своей знаменитой лекции в 1921 г.:
«Я не могу не отдать должное всем альтернативным геометриям. Если бы я не знал их, я бы не смог развить теорию относительности».
Возможно, Эйнштейн не открыл бы теории относительности, если бы не важнейший эксперимент, проведенный в 1880 г. Альбертом Майкельсоном (1852–1931) и Эдвардом Морли (1838–1923). Эти два физика попытались определить наличие вещества, называемого «эфиром», через которое, как считалось, распространяется свет и электромагнитное излучение. Звуковые волны не распространяются в вакууме, им необходима среда, воздух или вода, которая также позволяет измерить скорость звука. Таким образом, в XIX веке считалось, что световые волны распространяются не в космическом вакууме, а им также нужна среда, которая еще не открыта.
В эксперименте измерялось время, за которое луч света достигал зеркала и отражался от него. Сначала движение светового луча совпадало с направлением вращения Земли, так что когда луч летел к зеркалу, скорость планеты добавлялась к скорости света в эфире, а на его обратном пути вычиталась, что позволяло измерить скорость света в эфире. Затем световой луч пускался перпендикулярно вращению Земли, так что скорость вращения планеты не влияла на скорость света в эфире.
Таким образом, в эксперименте вращение Земли учитывалось или исключалось.
Представьте себе подобную ситуацию. Мы стоим на берегу реки шириной d и хотим провести следующий эксперимент. Вместо того чтобы посылать луч света, мы переплывем реку туда и обратно. Пусть с будет наша скорость, которая соответствует скорости света, a v — скорость течения реки, соответствующая скорости вращения Земли.
По аналогии с экспериментом Майкельсона — Морли, мы сначала проплывем фиксированное расстояние d по течению, а затем против него. Пусть t1 — время движения по течению, а t2 — время движения против течения. Когда мы плывем по течению, мы движемся с нашей скоростью с, но по отношению к берегу скорость равна (с + v). Аналогично, плывя против течения, мы движемся относительно берега со скоростью (с — v).
Используя формулу для нахождения расстояния при известных скорости и времени, мы получаем d = (с + v)·t1 и d = (с — v)·t2 Общее время по течению и назад считается следующим образом:


(а) Движение по течению и против.

(b) Переплывание реки и возвращение в исходную точку.

(с) Чтобы оставаться напротив исходной точки, пловцу необходимо плыть против течения.
Эти результаты можно проверить на конкретных числах. Представьте себе, что наша река шириной 500 метров (0,5 км), мы плаваем со скоростью с = 2 км/ч, а скорость течения реки v = 1 км/час. Тогда нам потребуется 1/6 часа, чтобы проплыть 500 метров по течению и полчаса — против течения, то есть в общей сложности 2/3 часа (около 0,67 часа).
Во второй части эксперимента Майкельсона и Морли мы переплываем на другую сторону реки и возвращаемся в исходную точку. Чтобы все время оставаться напротив исходной точки, мы должны плыть против течения. Таким образом, мы плывем не только поперек реки, но и против течения, чтобы компенсировать расстояние, на которое река относит нас вниз по течению. Нам постоянно приходится бороться с течением, и только часть работы, которую мы совершаем, помогает нам достичь другого берега. Таким образом, мы плывем вдоль гипотенузы прямоугольного треугольника, один из катетов которого равен ширине реки, а другой — расстоянию, на которое река отнесла бы нас за это время вниз по течению.
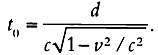
Пусть t0 — время, требуемое для переплывания реки. Связь между длиной пути и временем получается из теоремы Пифагора:
(c·t0)2 = (v·t0)2 + d2
Перепишем это уравнение следующим образом:
c2t20 — v2t20 = d2
t20 = d2/(c2 — v2)

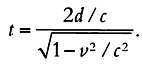
Время, затраченное на обратный путь, то же самое, поэтому общее

Подставим в формулу числовые значения из предыдущего примера. Таким образом, время, требуемое для переплывания реки, составит 1/√З
Обратите внимание, что значения времени в двух частях эксперимента (0,67 и 0,5777) различаются. Время, затраченное на движение вдоль течения реки, в 1/√(1 — v2/c2) раз больше, чем время движения поперек реки.
Но в эксперименте Майкельсона — Морли результат был иным: значения времени в двух частях эксперимента были одинаковыми. И это не было связано с погрешностью измерений или с ошибкой в эксперименте, который был проведен с максимальной точностью. И никто не мог найти объяснение. Значит, неверна сама теория? Ученые были обеспокоены.