Мир математики. т.4. Когда прямые искривляются. Неевклидовы геометрии - Страница 26

Инфракрасная фотография Западной Европы со спутника Meteosat.

То же изображение с камеры видимого света…

…и с камеры, передающей изображения паров воды в атмосфере.
* * *
Датчики, используемые спутниками, очень похожи на обычные цифровые камеры, хотя, конечно, несравненно более эффективны.
Кроме мощности, есть еще одно важное функциональное различие между датчиками на спутниках и обычными фотокамерами: датчики спутников фотографируют на определенной длине волны света в диапазоне от инфракрасного до ультрафиолетового излучения и сохраняют фотографии в виде цифровых изображений. Существуют также датчики, которые фиксируют только невидимый человеческому глазу инфракрасный свет.
Инфракрасные датчики могут определять попадающие в поле действия излучения вещества, такие как дым. В фильмах этот эффект часто показывается как луч цветного света. Спутники оснащены инфракрасными датчиками, которые работают на определенных частотах, и с их помощью можно увидеть мир таким, как он выглядит в других длинах волн, то есть в других «цветах».
Все объекты на Земле характеризуются светом, который они отражают. Объект воспринимается человеком как красный, если он отражает свет определенной длины волны. Другие визуальные системы могут видеть объекты по-другому. Объекты отражают свет с разной длиной волны: если бы это было не так, мы не смогли бы их различать лишь с помощью зрения. Тот же эффект позволяет датчикам спутниковой камеры отличать лес от полей и воды, которые отражают свет разной длины волны.
Спутники оснащены многими другими видами датчиков, например, для измерения температуры, то есть улавливающими инфракрасные волны. Они позволяют отличить белый снег от белых облаков и определить, является ли данная область горячей или холодной. С помощью специальной обработки изображения можно определить, являются деревья в лесу живыми или мертвыми, сгоревшими.
Несмотря на уровень сложности, изображения, передаваемые спутниками, тоже являются цифровыми, как и фотографии, сделанные нами в отпуске. Разница лишь в разрешении. Как и для обычных камер, размер пикселей в изображениях варьируется в зависимости от производителя, но спутники используют свой собственный параметр, называемый пространственным разрешением. Высокое разрешение обеспечивают более маленькие пиксели. Чем меньше пиксель, тем больше разрешение изображения, тем больше оно содержит информации. Разрешение спутниковых фотографий зависит от второго, более сложного параметра, называемого временным разрешением. Это время, которое требуется спутнику для повторного прохождения над той же точкой поверхности.
Как мы убедились по прочтении этой книги, новые геометрии не только возможны, но они также открывают перед человечеством новые области знаний. Хотя эти области могут показаться сложными, на самом деле они являются практическим применением математики. Они не только помогают нам полнее воспринимать реальность, но и широко используются в нашей повседневной жизни. Это не просто абстрактные идеи в умах гениальных математиков: эти открытия помогают нам диагностировать заболевания и ориентироваться во время путешествия. Можно сказать, что новые геометрии сделали видимым то, что на протяжении веков являлось незримым, и тем самым расширили наши горизонты. Таким образом, никогда еще отрицание какой-либо теории не оказывалось для человечества настолько полезным, как это произошло при отказе от пятого постулата Евклида.
Приложение
В 1905 г. Альберт Эйнштейн опубликовал «Специальную теорию относительности», которая вызвала сильнейшее потрясение основ физики со времен начала научной революции и фундаментального труда Исаака Ньютона Principia Mathematica («Математические начала натуральной философии»).
Эйнштейн предложил новый взгляд на реальность. Событие происходит в трехмерном пространстве в определенный момент времени. Другими словами, оно происходит в пространстве-времени и описывается четырьмя координатами: три из них определяют его положение в пространстве, а четвертая — во времени. Конечно, эти координаты задаются относительно некой системы координат. Поэтому место события в пространстве-времени зависит от положения наблюдателя, то есть от системы координат, используемой для определения события. Таким образом, различные наблюдатели видят событие по-разному, особенно если они сами движутся с разными скоростями.
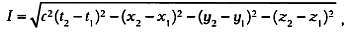
Проанализируем эти понятия в геометрическом смысле. В теории относительности расстояние между двумя событиями называется интервалом и делится на две составляющие: пространство и время.
Пространственная составляющая — это расстояние между местонахождениями событий в трехмерном пространстве, в то время как временная составляющая — это промежуток времени между двумя событиями. Эти составляющие зависят от используемой системы координат и ее ориентации, поэтому различные наблюдатели могут получить разные результаты. Однако интервал, разделяющий два события в четырехмерном пространстве-времени, является абсолютным. Он один и тот же и для неподвижного наблюдателя, и для другого наблюдателя, движущегося с постоянной скоростью относительно неподвижного.
Для наблюдателей, улетающих от Земли со скоростью, близкой к скорости света, пространственные и временные составляющие интервала будут совершенно разными. Один наблюдатель может решить, что два события разделяют 200 лет, в то время как другой может сделать вывод, что они происходят одновременно. Их восприятие пространственных и временных составляющих может сильно отличаться от нашего. Геометрия пространства-времени оказывается странной. В четырехмерном пространстве расстояние между двумя точками (интервал между двумя событиями) является неизменным, в то время как две составляющие могут быть совершенно различны.
Через три года после того, как Эйнштейн опубликовал свою первую статью на эту тему, Герман Минковский упростил его теорию, предложив геометрическую интерпретацию, обосновывающую странные вычисления Эйнштейна. Конечно, геометрия Минковского была неевклидовой. Минковский использовал одну из самых важных идей Римана о том, что математическое пространство определяется способом измерения расстояний. Другими словами, формула расстояния определяет тип геометрии.

Ось t представляет собой время, а ось х — пространство. Оси под прямым углом (х, t) соответствуют системе в состоянии покоя, в то время как оси с острым углом между ними (х', t') — движущейся системе. Движущаяся система склоняется к лучу света. В неподвижной системе наблюдатель видит, что события А и В происходят одновременно, а в движущейся системе наблюдатель решит, что событие В произошло раньше А.
Если два события имеют координаты
(x1, у1, z1, t1) и (x2, у2, z2, t2)
расстояние I между ними в геометрии Минковского вычисляется по формуле
где с — скорость света.
С другой стороны, если бы эти две точки были в четырехмерном евклидовом пространстве, расстояние между ними считалось бы по формуле: