Мир математики. т 40. Математическая планета. Путешествие вокруг света - Страница 7
Sквадрата = 82 = 64 кв. ед.

Как считают Робинс и Шут, ответ на этот вопрос заключался в том, как диаметр окружности связывался со стороной квадрата. Если соединить вершину квадрата с серединой его стороны, получится прямоугольный треугольник с гипотенузой, равной √80. Это значение весьма схоже с диаметром окружности, равным √81 = 9.

Любопытно, что если мы примем длину гипотенузы прямоугольного треугольника со сторонами 8 и 4 равной не √80, а 9, то получим еще более точное значение площади круга (64 ближе к 63,617, чем 62,83):
Неверная длина гипотенузы: 82 = 64 кв. ед.
Точное значение: π·4,52 = 63,617… кв. ед.
Точная длина гипотенузы: π·(√80/2)2 = 62,8318… кв. ед.
В любом случае ошибка будет меньше, если мы примем площадь круга диаметром 9 единиц равной 64 кв. ед., а не 63 кв. ед. (такова площадь неправильного восьмиугольника, рассмотренного ранее).
Неудивительно, что при решении этой задачи был выбран квадрат со стороной 9 единиц. Но почему именно 9? Если мы возьмем за основу квадрат со стороной в 3 единицы, то получим, что площадь восьмиугольника равна 7 кв. ед. Построить квадрат такой площади нельзя без использования иррациональных чисел. Площади квадратов со сторонами, например, 4 и 9 будут слишком далеки от реального значения. Возможно, для построения восьмиугольника египтяне брали за основу квадрат с длиной стороны, кратной 3. Но какое число, кратное 3, удобнее всего? Соотношение между площадью вписанного круга (Sо), площадью квадрата со стороной 3х и площадью вписанного неправильного восьмиугольника (S8) таково:

Чтобы построить квадрат, почти равный по площади восьмиугольнику, нужно найти число с такое, что с2 = 7х2. Для целых с это уравнение не имеет решений, однако можно найти приближенное значение с примерно = x√7, например с = 8. Именно его использовали египтяне, получая очень близкие результаты: 7х2 = 63,с2 = 64.
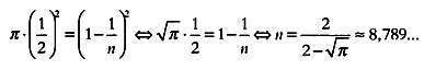
Рей Пастор и Бабини считают, что египтяне вывели правило по результатам действий с дробными частями единицы. Так как требуется вычесть из диаметра его девятую часть, возникает вопрос: какую дробную часть диаметра вида 1/n, где n — натуральное, необходимо рассмотреть, чтобы найти длину стороны эквивалентного квадрата? Пусть диаметр окружности D = 1. Вычтем из него дробь 1/n и вычислим, каким должно быть значение n, чтобы при возведении этой разности в квадрат получалось число, близкое к площади круга с диаметром 1.

Значительная часть известной нам сегодня математики создана на основе традиций, заложенных Евклидом в его «Началах». Этот труд не просто сборник задач и решений. В нем описано математическое мышление, которое принималось за образец вплоть до середины XX века, пока Бертран Рассел не пошатнул сами его основы.
Критики «Начал» не согласны уже с первой строчкой трактата, где приводится определение точки как чего-то, что не имеет частей. Сегодня точка определяется как элемент аффинного, или топологического пространства. Рассмотрим подробнее критику первого предложения, в котором идет речь о построении равностороннего треугольника. Это предложение часто рассматривается как иллюстрация парадигмы метода Евклида: оно представляет собой формулировку теоремы, которая доказывается на основе приведенных ранее аксиом. В доказательстве раскрывается метод, при помощи которого древние египтяне, возможно, размечали на земле прямые углы оснований своих пирамид.
В предложении 1 описывается построение равностороннего треугольника на данном отрезке. Пусть дан отрезок АВ. Нужно построить с помощью циркуля окружность радиуса АВ с центром в точке А. Далее аналогично строится окружность с центром в точке В. Две построенные окружности пересекутся в точках Р и Q. Эти точки будут находиться на одинаковом расстоянии от А и В. Следовательно, треугольники АВР и ABQ равносторонние.

Критики отмечают, что в доказательстве используется аксиома о непрерывности линий, отсутствующая среди евклидовых постулатов. Если эта аксиома не выполняется, то построенные окружности необязательно пересекутся. Следовательно, «Начала» — это не исчерпывающий математический трактат, а продукт культуры, в котором изложены все известные на определенный момент времени знания, заимствованные из разных культур. Некоторые даже осмеливаются заявлять, что именно «Начала» научили нас мыслить математически. Однако математическая мысль вовсе не ограничивается триадой «аксиома — теорема — доказательство», она может принимать и другие формы. Несмотря на то что в «Началах» описывается ряд алгоритмов, в частности алгоритм вычисления наибольшего общего делителя двух натуральных чисел, нельзя сказать, что алгоритмы действительно составляют часть математической мысли, описанной в этом трактате. В разделе «Начал», посвященном алгебре, мы не встретим описания итеративных процессов, в которых последовательность приближений, найденных по определенному алгоритму, сходится к решению задачи. Эти идеи возникли позже и характерны для китайской, арабской и индийской культур. Евдокс, который, возможно, был современником Евклида, применил схожий подход в своих работах, которые, однако, не упоминаются в «Началах». Архимед, живший на 100 лет позже Евклида, вероятно, первым применил метод последовательных приближений для вычисления площади круга и получил самый точный результат своего времени. Понятие последовательности и ее сходимости спустя почти 2 тысячи лет дали начало анализу бесконечно малых. Возникает вопрос, как Евклид рассматривал анализ бесконечно малых: как процесс или как идею?
Бертран Рассел пошел дальше и заявил, что математика выводится из логики. Однако этот факт вовсе не означает, что логика — суть математики. Мы каждый день принимаем решения, которые можно обосновать при помощи логики, но не рассматриваем их как логические задачи. Мы принимаем решения с учетом множества факторов, и логика — лишь один из них. Мы очень часто опираемся на опыт, интуицию, аналогии, советы и бесчисленное множество других доводов, которые по истечении времени можно рационально обосновать. Но мы не всегда рассуждаем исключительно рационально. Так и математическая мысль и сама математика не сводятся к одной лишь логике.
Шульба-Сутры — единственный индийский математический текст ведического периода, то есть VIII–II веков до н. э. В нем приведены четкие методы построения алтарей квадратной или круглой формы для дома. Алтари, находившиеся в общественных местах, должны были иметь более сложную форму и содержать треугольники, ромбоиды и трапецоиды. В одном из таких алтарей элементарные многоугольники образовывали фигуру в форме птицы — возможно, это означало, что после жертвоприношения птица поднимет в небеса просьбу просившего.
Одна из задач заключалась в построении алтаря площадью в два раза больше данного. Эту простую геометрическую задачу можно решить на глаз и в численном виде. Второй способ предпочтительнее, если мы хотим заранее определить, сколько материала потребуется на изготовление алтаря. Первым способом решение находится мгновенно: достаточно построить квадрат на диагонали исходного. Полученный квадрат будет содержать ровно четыре половины исходного квадрата.