Мир математики. т 40. Математическая планета. Путешествие вокруг света - Страница 6
Значит ли это, что строители великой пирамиды стремились обеспечить именно такой угол наклона граней? Быть может, за основу был взят угол наклона ребер, равный 42°?
Но почему выбраны именно такие углы? Может быть, они как-то связаны с египетскими традиционными мерами длины и равнялись какому-то круглому числу пальцев, ладоней или локтей? Ответить на эти вопросы сложно, ведь соотношение этих мер и современных мер длины в разных источниках отличается. К примеру, египетский царский локоть, который использовался при строительстве пирамиды Хеопса, по всей видимости, был равен 52,4 см. В последующие тысячелетия локоть составлял от 31,6 до 51 см. Если считать, что царский локоть действительно имел указанную длину, то высота великой пирамиды составит 280 локтей, а длина стороны основания — 440 локтей. Соотношение между этими величинами равно 7/11.
Почему выбрано именно такое соотношение — также загадка. Мы можем однозначно утверждать лишь то, что в Древнем Египте эпохи пирамид существовали точные математические методы построения прямых, параллельных и перпендикулярных линий, и только благодаря им удалось построить эти впечатляющие монументы. К счастью, до наших дней дошли папирусы, из которых мы знаем, как египтяне решали математические задачи.
В древнеегипетской культуре использовалось иероглифическое письмо, которое можно увидеть на стенах гробниц фараонов. Со временем иероглифы изменились и возникло иератическое письмо, имевшее более символический характер. При помощи иератического письма, созданного в конце эпохи пирамид, фиксировались всевозможные стороны жизни и культуры Древнего Египта. Записи велись на папирусе. Из папирусных свитков мы знаем, что египтяне использовали десятичную систему счисления, а при решении геометрических задач и выполнении расчетов применяли дробные части единицы.
Из всех папирусов, дошедших до наших дней, один содержит множество математических задач — это папирус Райнда, найденный в Фивах в середине XIX века близ мавзолея Рамзеса II, также известный как папирус Ахмеса по имени переписчика, который указал, что всего лишь сделал копию более древнего текста неизвестного автора или авторов. Копия Ахмеса датирована примерно 1600 годом до н. э., оригинал же мог быть на 300 лет старше.
Папирус Ахмеса содержит 87 математических задач. Шесть первых посвящены делению чисел на 10, 16 задач посвящены суммам дробей, 18 — уравнениям, восемь — делению, 14 — вычислению объемов призм и усеченных пирамид, пять — вычислению площадей земельных участков и объемов тел вращения, а еще 15 относятся к экономике. Форма записи практически идентична той, что используется в современной математике, и если мы сравним папирус Ахмеса со школьными тетрадями, то не найдем между ними особых различий.

Папирус Ахмеса, один из древнейших математических текстов, дошедших до наших дней.
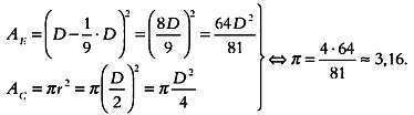
Египтяне также строили амбары цилиндрической формы и рассчитывали их вместимость через площадь круглого основания. Правило вычисления площади круга звучало так: «вычти из диаметра его девятую часть и возведи полученное число в квадрат».

В задаче 41 требуется вычислить объем амбара с диаметром основания 9 локтей и высотой 10 локтей. Результат определяется умножением площади основания на высоту. При вычислении площади основания применяется указанное выше правило. Девятая часть от 9 локтей равна 1 локтю. Разность между ними равна 8 локтям. Возведя это значение в квадрат, получим 64 квадратных локтя. Умножив это число на 10, получим 640 кубических локтей. Точный ответ таков:

Результат, полученный по методу древних египтян, больше истинного всего на 0,6 %. Расхождение вызвано неявно используемым в этой формуле значением π — это единственное отличие египетской формулы от современной. Некоторые историки высоко оценивают древний метод именно потому, что в нем фигурирует достаточно точное значение π. Если мы сравним египетскую формулу с известной нам формулой площади круга, то увидим, что в ней соотношение между длиной окружности и ее диаметром, то есть π, принимается равным 3,16:

Однако внимания заслуживают два вопроса, которые, возможно, даже важнее, чем точность при вычислении π. Египтяне определяли объем фигуры как произведение площади ее основания на высоту. Как они пришли к этой формуле? Какие мысли, не зафиксированные в египетских папирусах, привели их к этой формуле?
По одной из гипотез, древние связывали площадь круга с площадью неправильного восьмиугольника, вписанного в квадрат стороной в 9 единиц.
Если мы хотим получить прямоугольную фигуру, по площади примерно равную кругу, то очевидно, что вписанный квадрат слишком мал, а описанный квадрат слишком велик. Среднее арифметическое площадей этих квадратов — не слишком точная оценка реальной площади круга, так как в ней число π принимается равным 3. Между прочим, именно такое значение π несколько веков использовалось в Древнем Египте и Месопотамии. Однако достаточно понаблюдать за тем, как колесо совершает полный оборот, чтобы убедиться: отношение длины окружности к ее диаметру очевидно больше 3.
Учитывая, что площади, в отличие от расстояний, нельзя измерить по земле, площадь круга можно оценить следующим образом: построить окружность, измерить ее длину, после чего вычислить ее по формуле и сравнить полученные результаты.
Какую формулу следует применить для расчета длины? Разумно ли принять длину окружности равной среднему арифметическому периметров вписанного и описанного квадрата? Возможно, да. Однако мы сталкиваемся еще с одной проблемой: найти периметр квадрата, вписанного в окружность, без теоремы Пифагора нельзя.
По одной из гипотез, египтяне принимали эквивалентным окружности неправильный восьмиугольник. Чтобы построить его, они делили стороны квадрата длиной в 9 единиц на три части каждую, для чего на сторонах квадрата отмечалось восемь точек. Далее эти точки соединялись линиями, и получался неправильный восьмиугольник, площадь которого визуально неотличима от площади круга.

Площадь круга равна 63,6 кв. ед. Площадь неправильного восьмиугольника отличается от нее менее чем на 1 %:
Sk =92 — 4·(1/2)·32 = 81–18 = 63 кв. ед.
Еще одна гипотеза изложена в задаче папируса Ахмеса под номером 50. В ней площадь круглого поля диаметром 9 единиц принимается равной площади квадрата со стороной в 8 единиц. Автор папируса указывает, что подтверждение этого соотношения приводится в задаче 48. Задача 48 сопровождается рисунком, на котором изображен неправильный многоугольник, вписанный в квадрат. В центре обеих фигур записана цифра 8. Однако рисунок неточен: вписанный многоугольник имеет не восемь, а всего семь сторон, при этом одна из его сторон не полностью совпадает со стороной квадрата. Но здесь важно другое: почему египтяне думали, что круг диаметром 9 единиц эквивалентен квадрату со стороной 8 единиц?
С точки зрения современного человека площади этих фигур действительно схожи:
S8 = π·4,52 = 63,617… кв. ед.
Их подобие нетрудно видеть на рисунке.