Мир математики. т 40. Математическая планета. Путешествие вокруг света - Страница 4

Кость Ишанго в двух ракурсах (Брюссельский музей естественных наук).
На кость в три ряда нанесены зарубки, сгруппированные следующим образом.
Столбец А: 11 + 13 + 17 + 19 = 60.
Столбец В: 3 + 6 + 4 + 8 + 10 + 5 + 5 + 7 = 48.
Столбец С: 11 + 21 + 19 + 9 = 60.
В столбце А записаны простые числа от 10 до 20. Сумма чисел в ряду равна 60 — это число имело очень большое значение, так как выступало основанием системы счисления в культурах Месопотамии, на землях между реками Тигр и Евфрат, 15 тысяч лет спустя. 60 — очень удобное число, так как оно имеет 12 делителей, среди них — шесть первых натуральных чисел: 1, 2, 3, 4, 5, 6, 10, 12, 15, 20, 30, 60. В столбце В записаны числа и кратные им (3 и 6, 4 и 8, 5 и 10). К этим числам приписано 7, чтобы общая сумма была равной еще одному числу, кратному 12, а именно 48. В столбце С записана последовательность нечетных (но не простых) чисел, которые в сумме также дают 60.
Случайно ли суммы чисел в трех столбцах равны 60, 48 и 60? Значит ли это, что тем, кто сделал зарубки, уже были известны понятия кратности и делимости, которые проявляются в парах чисел 3 и 6, 4 и 8, 5 и 10? Означает ли это, что авторы резьбы имели представление о неделимых, или простых, числах, в частности 3, 5, 7, 11, 13 и 19? Ответить на эти вопросы непросто, особенно если учесть, что зарубки имеют разную длину, а некоторые из них прерываются. Что означает прерывистая линия — одну единицу или две? А может, у того, кто сделал зарубки, просто дрогнула рука?
Наиболее вероятный математический феномен, который можно отметить при изучении зарубок на кости Ишанго, заключается в установлении соответствия «один к одному» между зарубками и какими-то другими объектами. Такое соответствие составляет основу счета.
Именно в этом заключается важнейшее отличие этих зарубок от петроглифа из южноафриканской пещеры Бломбос. Зарубки на кости Ишанго, по всей видимости, подчиняются не геометрической, а числовой закономерности. Петроглиф из пещеры Бломбос, напротив, описывается не числами, а законами геометрии.
Намного позже, чем южноафриканский петроглиф и конголезская кость с зарубками, на Европейском континенте было создано сооружение, в котором сочетаются числа и геометрия. Речь идет о мегалите Стоунхендж в долине Солсбери в Соединенном Королевстве. Стоунхендж имеет круговую структуру и состоит из четырех концентрических окружностей, образованных менгирами высотой в несколько метров, а сочетание дольменов и менгиров образует более сложную общую структуру.

Концентрические окружности Стоунхенджа (Соединенное Королевство).
Внешняя окружность мегалита диаметром 30 метров образована огромными камнями в форме прямых призм, которые сверху изначально были покрыты перекладинами. Внутри этой окружности расположена еще одна, состоящая из блоков меньшего размера, которые, в свою очередь, заключают в себе фигуру в форме подковы. Внутри этой подковы находится плита — алтарный камень. Стоунхендж, окруженный круглым рвом диаметром чуть больше 100 метров, был возведен примерно в 2500 году до н. э., хотя древнейшая часть сооружения датирована 3100 годом до н. э.
Цель строительства Стоунхенджа неизвестна. Среди приписываемых ему функций выделим три наиболее вероятных: место отправления культа, захоронение и астрономическая обсерватория. Следует отметить, что в те времена, когда был построен Стоунхендж, в дни летнего солнцестояния лучи солнца прочерчивали главную ось сооружения. На закате того же дня лучи солнца указывали ось так называемого Вудхенджа — памятника, расположенного неподалеку от Стоунхенджа, где были найдены многочисленные кости животных и другие предметы, которые, возможно, использовались во время религиозных или культовых церемоний.
Стоунхендж отличается от приведенных выше примеров тем, что имеет круглую форму. И все же существуют некоторые черты, которые роднят его с описанными выше культурными объектами: структура Стоунхенджа основана на ряде повторений, подчиняющихся общему закону, что придает сооружению особый характер. В петроглифе из пещеры Бломбос повторяются треугольники, на кости Ишанго — равноудаленные зарубки, в Стоунхендже — круги. Повторяющиеся круги Стоунхенджа образуют единую мощную структуру, так как имеют общий центр.
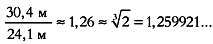
Можно пойти еще дальше и найти соотношение между диаметрами двух концентрических окружностей Стоунхенджа, которые равны примерно 30 и 24 м:
30 м/24 м = 5/4 = 1,25
Однако диаметры этих окружностей вполне можно принять равными 30,4 м и 24,1 м. В этом случае их соотношение будет таким:
Учитывая, что 1,26 — очень точное приближение кубического корня из 2, можно ли сделать вывод, что строителям Стоунхенджа были известны пропорции, а отношение диаметров окружностей действительно равно кубическому корню из 2?
Увы, никаких подтверждений этой гипотезы не существует.
Следует выделить три особенности Стоунхенджа: во-первых, он имеет уникальную геометрическую структуру, которая представляет собой ряд концентрических окружностей, во-вторых, в нем проявляется связь с астрономией, и, в-третьих, он служит примером того, как в сооружениях древней культуры проявляется геометрическая точность.
Еще до появления Стоунхенджа вавилоняне, жившие на землях между реками Тигр и Евфрат в Малой Азии почти за 2 тысячи лет до нашей эры, записывали свои мысли на глиняных табличках. Хотя использованные для этого петроглифы и имеют геометрический характер, их уже можно назвать знаками письменности. Многое из того, что нам известно о народах, населявших Месопотамию, — это не просто гипотезы, а результаты расшифровки древних записей.
В том же регионе примерно за 3 тысячи лет до нашей эры шумеры начали записывать слова с помощью идеограмм. Со временем эти идеограммы усложнялись, и спустя примерно тысячу лет из них образовалась система письма, которую мы сегодня называем клинописью. Клинопись начали использовать другие народы, и на ее основе был создан древний персидский алфавит.
Известно около двух тысяч символов клинописи, однако позднее использовалось не более 600. Далее представлены символы, которыми обозначались первые 39 чисел. По их форме четко видно, что вавилоняне использовали десятичную систему счисления.

Символы вавилонской системы счисления.
Однако вавилонская система счисления не сводилась к простой десятичной. На маленькой табличке YBC 729 изображен квадрат и две его диагонали. Рассмотрев рисунок, мы поймем, что вавилоняне использовали числа не только для счета.

Вавилонская глиняная табличка YBC 729.
Числа, приведенные на иллюстрации, могут обозначать длину отрезка, рядом с которым они записаны. Однако числа 42, 25 и 35, кажется, записаны далеко от стороны и диагонали квадрата. Каким соотношением связаны 30, 1, 24, 51, 10, 42, 25 и 35? Откуда взялись эти величины?
Предположим, что 30 единиц — это длина стороны с квадрата. Вычислим длину его диагонали D:
D = 30·√2 = 42,4264068…
Мы получили одно из чисел на табличке — 42. Однако вавилоняне использовали шестидесятеричную систему счисления. Переведем полученный результат в нее (необходимые действия можно выполнить на калькуляторе).