Мир математики. т 40. Математическая планета. Путешествие вокруг света - Страница 11
7·1000 + 3·100 + 5·10 + 2.
Однако в рамках западной культуры имеются некоторые различия. Французы при устном счете для обозначения десятков от 60 до 90 используют в качестве основы число 20. Восемьдесят на французском произносится quatre-vingt, то есть «четыре раза по двадцать». Восемьдесят пять произносится quatre-vingt cinq, то есть
4·20 + 5.
Клаудия Заславски (1917–2006, Нью-Йорк) первой изучила туземные математические идеи и внесла вклад в создание этноматематики. В труде «Africa Counts» («Африка считает») она предвосхитила идеи, которые спустя много лет составили основу отдельной дисциплины — этноматематики (это название ей дал бразильский профессор Убиратан д’Амброзио). Заславски зафиксировала множество математических идей, свойственных африканским культурам: системы счисления, отличные от десятичной, методы счета на пальцах, геометрические узоры, используемые в строительстве и украшениях.
За пределами западной культуры при обозначении величин, которые нельзя показать на пальцах одной руки, в устной речи за основу берется число 5. В некоторых разновидностях языка банту (Центральная Африка) корень, обозначающий число 5, звучит как «тано» и входит в слова, обозначающие 6, 7, 8 и 9. Эти слова образуются прибавлением к корню «тано», обозначающему пять единиц, окончаний 1 (-мве), 2 (-вали), 3 (-тату) и 4 (-не). Таким образом, 6 называется тано-на-мве, 7 — тано-на-вали, 8 — тано-на-тату, 9 — тано-на-не.
В Гвинее-Бисау и Центральной Африке также используются пятеричные и двадцатеричные системы счисления, в которых 5 понимается как число пальцев на руке, 20 — число пальцев на руках и ногах. Таким образом, 10 называется «две руки», а 20 — «человек». Выражение «пять человек» обозначает число 100.
Традиционные обозначения чисел отражают мышление народа. Однако такие обозначения удобны при подсчете малых величин, но не при действиях с большими числами. Так, народ игбо, живущий на территории Нигерии, использует систему счисления по основанию 20. Квадрат 20 обозначается словом нну, квадрат 400 называется «нну кхуру нну», что означает «400 встречает 400».
Числа имеют первостепенное значение и в торговле, где нужно уметь измерять и взвешивать, производить расчеты и вести записи. Торговля невозможна без обмена и единицы стоимости. Так возникает необходимость в умножении и делении.
В Африке в качестве денежных единиц использовались раковины, коровы, соль, рабы и золото. Сегодня главная роль отводится банкнотам и монетам, хотя на местных рынках практикуется и натуральный обмен товарами.
Сто лет назад народ эве с побережья Гвинеи использовал в торговле раковины каури. Сорок раковин составляли единицу товарного обмена и назывались хока. Вдали от побережья хока равнялась уже не 40, а 35 раковинам. Эве быстро и умело перемножали числа: так, они брали 20 раз по 3 раковины, затем добавляли к ним 10 и получали 2 материковых хока: 20·3 + 10 = 70.
Значит ли это, что эве находили соотношение между береговой и материковой хока? Учитывая, что 20 — половина от 40, а 10 — четвертая часть 40, знали ли они, что три половины и четвертая часть береговой хока равнялись двум материковым хока? Более того, понимали ли они, что отношение между этими «валютами» равнялось 8:7 и, чтобы перевести цену из береговых в материковые хока, нужно было умножить ее на 7 и разделить на 8? Ответить на этот вопрос нелегко.
Особого упоминания заслуживает удивительно сложная система счисления народа йоруба, живущего на территории Нигерии. Так, число 48 на языке йоруба дословно означает 20·3 — 10 — 2.
Йоруба используют двадцатеричную систему счисления, однако в отличие от подавляющего большинства культур числа в ней определяются вычитанием, а не сложением. Система счисления йоруба может показаться необычной и слишком сложной, однако это не единственная система счисления, основанная на вычитании — по такому же принципу была устроена римская система.

Как представить число в системе йоруба? Чтобы ответить на этот вопрос, сначала рассмотрим обозначения всех чисел до 20 — основания этой системы счисления. Числа от 1 до 10 обозначаются разными словами. Числа от 11 до 14 образуются прибавлением окончания — лаа к словам, обозначающим числа от 1 до 4. Вычитание используется начиная с числа 15: это и последующие числа обозначаются словами, которые буквально означают 20 — 5, 20 — 4, 20 — 3, 20 — 2 и 20 — 1. Число 20 обозначается новым словом; следующие числа, начиная с 21, обозначаются при помощи сложения, затем, начиная с 25, — вновь при помощи вычитания. Это правило циклически повторяется для всех последующих чисел. К примеру, 105 = 6·20–10 — 5, 315 = 400 — 20·4–5 (число 400 имеет особое название).
Укажем, как обозначаются некоторые большие числа.

Возможно, подобное представление чисел связано с подсчетом раковин каури: раковины при счете сначала объединялись в группы по 5, затем — в группы по 20. Пять групп по 20 раковин образовывали ряд из 100 раковин. Когда мы делим раковины на группы по 5, мы считаем от 1 до 5. Именно поэтому йоруба определяют числа 11, 12, 13 и 14 прибавлением единиц к 10. Однако эта версия не объясняет, почему число 15 определяется иначе.
Возможное объяснение заключается в том, что йоруба считали раковины на пальцах одной руки. Допустим, что мы держим в уме число 10 и последовательно разгибаем пальцы рук, чтобы отсчитать 11, 12, 13 и 14. Как отсчитать на пальцах этой же руки следующие числа до 20? Сначала разогнем пятый палец, а затем будем поочередно загибать пальцы до тех пор, пока не досчитаем до следующего десятка. Следовательно, числа, которые мы добавим к первому десятку, когда будем разгибать пальцы, мы отнимем от следующего десятка, когда будем загибать пальцы.
Таким образом, когда мы разогнем пятый палец, то будем представлять, что вычли 5 из 20: 20 — 5 = 15. Загнем один палец и получим 20 — 4 = 16, загнем еще один и получим 20 — 3 = 17. Когда мы загнем все пальцы, то начнем отсчет следующего десятка, то есть досчитаем до 20.
Методам счета за пределами академической среды посвящено множество исследований. Целью одного из них было узнать, как женщины каждый день выполняют сложение и вычитание в уме (чаще всего это происходит на рынках). Чтобы вычесть 5 единиц из 62, больше половины женщин на рынке в Мозамбике (Восточная Африка) сначала вычитали 2, а затем отнимали еще 3 от результата:
62 — 5 = (62 — 2) — 3 = 57.
Примерно треть опрошенных женщин вычитали 5 из 60, после чего прибавляли к результату две единицы:
62 — 5 = (60 — 5) + 2 = 57.
Меньшинство вычитало 10 из 62, после чего прибавляло к результату разность
62 — 5 = (62–10) + (10 — 5) = 57.
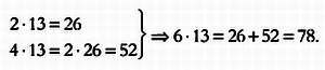
При умножении большинство женщин удваивали числа до тех пор, пока не получали приближенный результат. К примеру, они умножали 6 на 13 следующим образом (этот метод похож на египетский, описанный в начале этой главы):

Авторство всех этих методов подсчета неизвестно — так же как неизвестно, обучал ли женщин кто-либо считать именно таким способом. Возможно все описанные способы счета в уме составляют часть культурной традиции, связанной с ролью женщины в торговых отношениях.
В Нигерии также были зафиксированы алгоритмы вычислений в уме, схожие с приведенными выше. Так, сумма 18 + 19 вычислялась по следующим правилам: