Менеджмент. Учебник - Страница 192
Таким образом, общая экономия составит 100-27,7 = 72,3%.
225. Поскольку каждый должен вложить равную долю – 150 тыс. руб., то долг третьего компаньона первому составляет 230 - 150 = 80 тыс. руб., а второму – 220-150 = 70 тыс. руб.
226. Доля каждого предприятия составляет блоков, которые стоят 110 тыс. у. д. ед.
Отсюда стоимость 1 блока равна:

Из этого следует, что первое предприятие затратило 70 блоков по 3 тыс. у. д. ед., т. е. 210 тыс. у. д. ед.; второе – 40 блоков по той же цене, т. е. 120 тыс. у. д. ед.; третье, как известно, затратило 110 тыс. у. д. ед.
Очевидно, что третье предприятие должно первому 100 тыс. у. д. ед. (210-110) и второму 10 тыс. у. д. ед. (120-110).
227. Наливаем в соответствующую емкость ровно 8 литров вина, из которой отливаем в 5-литровую ровно 5 (при этом в 8-литровой емкости остается ровно 3 литра).
Из 5-литровой емкости вино переливаем в 12-литровую и в освободившийся сосуд наливаем оставшиеся в 8-литровой емкости 3 литра.
Снова из 12-литровой заполняем вином 8-литровую емкость, из которой заливаем доверху 5-литровую (в которой уже есть 3 литра). При этом в 8-литровой емкости остается ровно 6 литров.
228. Обозначим новый результат фермера – количество ежедневно вспахиваемой земли – через х. Тогда величина участка будет равна 8х (теперь он вспахивает его за 8 дней), и условие задачи можно записать так:

Из этого следует, что 1) х = 10 га, 2) величина участка равна 8х = 80 га.
229. Принимая количество автобусов, выпускаемых в день до реконструкции предприятия, можно записать условие задачи в виде следующего уравнения:
![]()
Отсюда х = 1, а количество автобусов, выпускаемых в день после реконструкции, равно х + 1 = 2.
230. Принимая количество изделий, выпускаемых в день по норме, за х, можно записать условие задачи в виде следующего уравнения:
![]()
откуда х = 2.
Количество изделий, выпускаемых в день, фактически равно х + 3 = 5.
231. Принимая вес, потерянный яблоками после сушки, за х, можно записать условие задачи следующим образом:
![]()
Откуда х = 3, а искомый вес 4 т яблок после сушки равен 4 - 3 = 1 т.
232. Последовательность решения задачи такова:
1) Одна корова большого стада (70 коров) могла бы питаться травой 1680 дней (24 дня х 70 коров).
2) Одна корова малого стада (30 коров) могла бы питаться травой 1800 дней (60 дней х 30 коров).
3) Следовательно, за 36 дней (60 - 24) успевает нарасти трава, достаточная для питания одной коровы в течение 120 дней (1800-1680).
4) Значит, и за последующие 36 дней (96 -60) нарастет столько же травы, сколько хватит одной корове на 120 дней.
5) А всего количество дней, в течение которых могла бы питаться травой одна корова искомого стада, составит:
1800 + 120 = 1920 дней.
6) Зная, что коровы искомого стада будут питаться травой 96 дней, нетрудно найти, сколько в этом стаде коров:
1920 дней : 96 дней = 20 коров.
233. Первоначальное количество зеленой краски обозначим через х, тогда количество желтой составит 1 - х. После добавления 1 - х зеленой и х желтой краски количество красок разных цветов уравнялось (стало равным по 1). Следовательно, по 50 % краски каждого цвета.
234. В тонне сахара при влажности 15 % содержится 150 кг воды и 850 кг сухого вещества. После просушки количество воды уменьшилось на 80 кг и стало равно 70 кг. Следовательно, теперь влажность сахара составляет:

235. Вес жидкости в изделии до его сушки составлял 6 кг. Обозначая потери жидкости при сушке через х, можно записать условие задачи так:

Откуда х = 5,45 кг.
Следовательно, вес изделия после сушки равен: 60 - 5,45 = 54,55 кг.
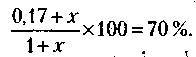
236. В одной тонне переработанного сырья по условию задачи содержится 0,17 т жидкости и 0,83 т сухого вещества. С учетом этого обстоятельства и принимая за х вес испарившейся в процессе переработки жидкости, можно записать условие задачи так:

Откуда х= 1,77 т.
Следовательно, для того чтобы получить одну тонну продукта, нужно переработать сырья 1 + 1,77 = 2,77 т.
237. В 100 т морской воды по условию задачи содержится 6 т соли. С учетом этого обстоятельства и принимая за х количество пресной воды, необходимое для опреснения, можно записать условие задачи так:

Откуда х = 500 т.
238. В слитке сплава по условию задачи содержится 4 кг золота. С учетом этого обстоятельства и принимая за х количество золота, которое нужно добавить к слитку, можно записать условие задачи так:

Откуда х = 20 кг.
239. Принимая первоначальный вес сахара за х, а вес сахара после просушки за x1, можно записать условие задачи так:

Следовательно, вес высушенного сахара стал на 9 % меньше первоначального.
240. Раньше 5 деталей из 100 были с браком, теперь 1 деталь из 100. Следовательно, брак сократился на
