Менеджмент. Учебник - Страница 184

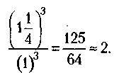
Следовательно, по объему первое яблоко больше второго примерно в 2 раза. А стоит оно всего в 1,5 раза дороже. Значит, такое яблоко покупать выгоднее.
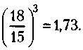
126. Руководствуясь теми же соображениями, что и в решении задачи 125, составим отношение объемов яиц:

Следовательно, второе яйцо выгоднее.
Уместно отметить, что соображения, высказанные при решении двух последних задач, справедливы по отношению к любым фруктам или овощам шарообразной или близкой к ней формы: чем они крупнее, тем выгоднее.
127. Для решения задачи вообразим, что диаметр крупинок муки крупного помола больше, чем мелкого, скажем, в 10 раз. Увеличим мысленно крупинки мелкой муки до размера крупинок крупной. Одновременно увеличим во столько же раз и размер мешка. Тогда объем его вырастет в 10х 10 х 10= 1000 раз. Во столько же раз увеличится и вес муки. И если мы теперь отсыпем из этого огромного мешка один наш мешок, то он составит одну тысячную веса большого мешка. Но ведь это и будет мешок муки крупного помола. И вес его окажется точно таким же, как и у мешка муки мелкого помола.
Следовательно, одинаковые по объему мешки муки мелкого и крупного помола равны и по весу.
128. 1) Если на все деньги купить только радиоаппаратуру, то ее окажется 480 тыс. у. д. ед.: 30 тыс. у. д. ед. = 16 единиц. Но при этом экспедитор нарушает задание – купить товары всех трех видов. Поэтому ему придется ограничиться 15-ю единицами радиоаппаратуры, оставив деньги на более мелкие покупки (одежду и бытовую технику).
2) Допустим, мелкие покупки уже сделаны. Тогда если бы радиоаппаратура стоила по 10 тыс. у. д. ед. за единицу, то за 15 единиц пришлось бы заплатить 150 тыс. у. д. ед. (менее 200 тыс. у. д. ед.) и осталось бы явно более 28 тыс. у. д. ед. (480 - 200) на доплату стоимости радиоаппаратуры – по 20 тыс. у. д. ед. (30 - 10) за каждую единицу. Следовательно, куплено было бы более 14 единиц (280 тыс. у. д. ед.: 20 тыс. у. д. ед.). Итак, можно купить радиоаппаратуры не более 15 единиц, но более 14, т. е. 15 единиц.
За 15 единиц радиоаппаратуры будет заплачено 450 тыс. у. д. ед. и, таким образом, на мелкие покупки останется 30 тыс. у. д. ед. (480 - 450).
3) На оставшиеся 30 тыс. у. д. ед. должно быть сделано 5 (20 - 15) мелких покупок двух видов.
Если бы бытовая техника стоила 10 тыс. у. д. ед. за единицу, то 5 ее единиц обошлись бы в 50 тыс. у. д. ед., т. е. пришлось бы переплатить сверх задания 20 тыс. у. д. ед. (50 - 30) из-за переплаты по 5 тыс. у. д. ед. (10-5) на каждой единице. Поэтому приходится покупать не 5 единиц бытовой техники, а 4 – всего на 20 тыс. у. д. ед. (4 x 5 тыс. д. ед.).
4) На оставшиеся 10 тыс. у. д. ед. (30 - 20) можно купить третий вид товара – одежду. Этого как раз хватит на 1 единицу одежды.
Итак, экспедитор покупает: 15 единиц радиоаппаратуры, 1 единицу одежды и 4 единицы бытовой техники.
129. Не только не переоценивает, но даже преуменьшает. Возьмем в руки самый подробный каталог товаров. Вряд ли он будет иметь более 1000 страниц. Откроем его посередине, на 500-й странице, и зададим 1-й вопрос: «Задуманный товар находится на этой странице или после нее?» Получив ответ, мы уменьшаем количество претендентов на задуманный товар ровно в 2 раза. Продолжая таким же образом «половинить» каталог, на 10-м вопросе мы дойдем до одной его страницы, на которой и будет искомый товар. Далее подобным же путем найдем один из двух столбцов, в которых располагаются товары (11-й вопрос). В столбце вряд ли будет более 10 товаров. Чтобы «споловинить» и их, потребуется еще максимум 4 вопроса. Итого 15 вопросов, и задача решена.
130. Действие чашечных весов основано на принципе рычага. Если правое плечо весов имеет длину П, левое – Л, и грузы, которые мы взвешиваем на правой и левой чашках, равны соответственно Рп и Рл, то должно действовать известное из физики равенство:
![]()
Поскольку весы неисправны, при первом взвешивании вес гири Г соответствует хкг товара, а при втором взвешивании – укг товара.
Равновесие наступает при следующем равенстве:
П х Г = Л х х – для первого взвешивания;
Л х Г = П х х – для второго взвешивания.
Из этих соотношений следует, что

При этом общий вес товара равен:

Из алгебры известно, что

(кроме случаев, когда )* .

![]()
Значит, фактический вес товара больше, чем полученный в результате предложенного способа взвешивания.
131. После первой замены бензина на колонке оставалось 36 - 12 = 24 т высококачественного бензина. При этом в одном литре смеси высококачественный бензин составлял

При второй замене в 9 т израсходованной смеси содержалось

А в одном литре смеси – соответственно

После третьей замены в 8 т израсходованной смеси содержалось
14 т из 36 – это 39 % высококачественного бензина и 61 % (100 - 39) низкосортного.
132. 150 т.
133. Пожалуй, дешевле всего будет перенести увеличенное изображение небольшого часового циферблата на экран, помещенный на башне, с помощью оптического проектора.
134. Обозначая стоимость клипсов через Кл, броши – Бр, кольца – Кол и заколки – Зак, можно по условию задачи составить следующие два уравнения:

Совместное решение уравнений (1) и (2) даст искомый результат:
