Менеджмент. Учебник - Страница 183
и напитка «Сладость».
118. Обозначим через х количество приобретенных шин (или аккумуляторов), а через у – количество непроданных аккумуляторов. Тогда количество непроданных шин составит 7 - у, количество проданных аккумуляторов х - у, количество проданных шин х - (7 - у).
Стоимость покупки равна:
![]()
Стоимость продажи (с учетом прибыли) равна:

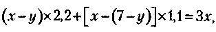
По условию задачи стоимость продажи равна стоимости покупки:
![]()
или после преобразований
![]()
Решая последнее (так называемое диофантовое) уравнение, следует иметь в виду следующие ограничения:
1) х и у – целые числа,
2) х и у – положительны,
3) х и у – меньше 7.
Указанным ограничениям отвечают только значения у, равные 5 или 2 (при всех других значениях у значения х не будут целыми числами); у = 2 не подходит, так как из (*) при этом нарушается условие
![]()
продажи шин парами (33 не делится на 2).
Следовательно, у = 5. При этом стоимость покупки составляет Зх = 3 х 44 = 132 тыс. у. д. ед.
Нетрудно убедиться, что при оставшихся непроданных пяти аккумуляторах и двух шинах их стоимость составляет:

что как раз равно 0,1 от стоимости покупки, т. е. прибыль действительно равна 10 %.
119. Обозначим стоимость первой квартиры при ее покупке через х, а второй – через у. Тогда условие задачи можно записать так:

Из (1) следует, что

Подставляя значение у в (2), получим:

откуда х = 180 тыс. у. д. ед.

120. Обозначим через х деньги родителей, а через у деньги детей. Тогда условие задачи можно записать так:

Из (1) следует, что

Подставляя значение у в (2), получим:

или после преобразований


2) Цена участка по условию задачи равна остающейся у родителей или у детей сумме денег
![]()
Значит, она равна

121. Вначале рассчитаем процент и вес сухого остатка в товаре.
При первом замере жидкости сухой остаток составил 1 % и весил 1 т. При втором замере – соответственно 4 % и снова 1 т (вес сухого остатка не меняется). Интересующий нас вес всего товара (100 %) при втором замере (х) находим из очевидной пропорции:

Откуда х = 25т.
За этот товар следует заплатить 25т х 300 тыс. у. д. ед. = 7,5 млн у. д. ед.
122. Задача допускает несколько решений. Одно из наиболее интересных следующее.
Фирма Б заключает с фирмой В контракт на поставку лишь половины товара, получаемого от фирмы А. Тогда сумма этого контракта будет 100 млн руб. и неустойка фирме В составит лишь 10 млн руб. В случае, если фирма А сорвет контракт, фирма Б ничего не потеряет, выплачивая фирме В только то, что получит от фирмы А. Если же фирма А сделает нормальную поставку, фирма Б заключит с фирмой В контракт и на вторую половину товара.
123. Будем рассуждать следующим образом:
1) За сколько дней Иванов израсходует 10 бочек?
10 x 14 = 140 дней.
2) Сколько бочек за эти же 140 дней израсходовали бы Иванов и Петров совместно?

3) Сколько бочек за эти 14 дней израсходовал бы Петров?
14 - 10 = 4 бочки.
4) За сколько дней Петров израсходовал бы одну бочку?

124. Нужда – это нехватка определенного круга предметов или услуг (например, нужда в пище, одежде, квалифицированной медицинской помощи). Потребность – это нужда в конкретном товаре. Спрос – это потребность, подкрепленная возможностью покупателя заплатить за товар.
125. В предвкушении еды нас интересует не величина яблока, а его объем. Отношение объемов шаров пропорционально отношению кубов их радиусов. В нашей задаче это отношение равно: