Менеджмент. Учебник - Страница 181

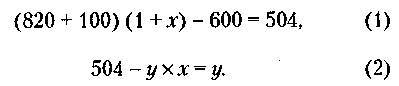
Следовательно, в результате первой уценки цена домика будет установлена:
![]()
а в результате второй:
![]()
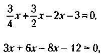
109. Обозначая через х стоимость грузовой автомашины, а через у стоимость станка, купленного компаньоном А, нетрудно установить, что стоимость легковой автомашины равна у, а стоимость станка, приобретенного компаньоном Б, составляет х – 2.
Из условия задачи также следует, что х + у = 24 и суммарная стоимость автомашины тоже равна 24 тыс. у. д. ед.
Следовательно, если бы легковая автомашина была в три раза дороже грузовой, то они должны были бы стоить соответственно 18 и 6 тыс. у. д. ед. и равенство затрат компаньонов можно было бы записать так:
![]()
Откуда

Итак:
1) Стоимость покупок: станок, купленный компаньоном А, – 17 тыс. у. д. ед., купленный компаньоном Б, – 5 тыс. у. д. ед.; стоимость грузовой автомашины – 7 тыс. у. д. ед., легковой – 17 тыс. у. д. ед.
2) Всего было потрачено: компаньоном А 17 + 7 = 24 тыс. у. д. ед., компаньоном Б 5 + 17 = 22 тыс. у. д. ед.
110. Обозначим через х торговую наценку (в долях от 1), через у – стоимость товара без наценки и через z – сумму комиссионных агенту по продаже. Тогда условие задачи можно записать так:

Величину торговой наценки найдем из (1):

2) Из (2) следует, что стоимость оставшегося товара без торговой наценки (товар не продан) равна:
![]()
а стоимость проданного товара без учета торговой наценки –
![]()
Отсюда прибыль равна:
![]()
3) Из условий задачи:
![]()
Откуда z = 18 тыс. у. д. ед., а в процентах

111. Обозначим через х стоимость всех кроватей, через у – всех туалетных столиков, а через z – стоимость одной кровати. Тогда условия покупки первой партии товара можно записать так:

Если бы в первой партии было решено приобрести только туалетные столики, то выражение (*) приобрело бы следующий вид:

Умножение левой части равенства на учитывает долю столиков, дополняющую покупаемое в первой партии количество до общего , а умножение на – увеличение количества столиков, пропорциональное уменьшению цены каждого.
Следовательно,

откуда у = 30.
Подставляя это значение в (*), получим х = 30.
Обозначим через т стоимость одной кровати. Тогда один столик будет стоить z.
При этом исходя из условия задачи будет иметь место соотношение

Подставляя значения х и у и решая относительно z, получим:
![]()
Следовательно:
1) Общая стоимость закупленных кроватей и столиков в первой партии равна соответственно – из (*):

а во второй партии:

2) Стоимость кровати равна 3 тыс. у. д. ед., а стоимость туалетного столика

3) Количество кроватей и столиков, закупленных в первой и второй партиях, соответственно равно:
в первой партии – кроватей = 2 единицы, столиков = 5 единиц; во второй партии – кроватей = 8 единиц, столиков =10 единиц.
Всего 10 кроватей и 15 столиков.
112. Обозначим через х общий объем выпивки в литрах или равный ему вес закуски в килограммах. Тогда суммарная стоимость выпивки будет 20х у. д. ед., а закуски – 10х у. д. ед. и общие затраты составят:
![]()
Если бы эти затраты были равными для выпивки и закуски, то и на одно, и на другое пришлось бы по у. д. ед. Исходя из этого, условие задачи можно записать так:

откуда
