Менеджмент. Учебник - Страница 180
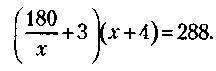
101. Обозначая первоначальное количество линий через х, можно представить условие задачи в следующем виде:

После преобразований получим х2 - 32х + 240 - 0.
Решая квадратное уравнение по стандартной формуле, получим:

Задача имеет два решения: х1 = 20, х2 = 12.
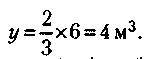
102. Обозначая через х старый, а через у новый расход сырья на один комплект мебели, можно записать условия задачи следующим образом:

Решая систему из двух уравнений с двумя неизвестными, из (**) получим

Подставляя значение у в (*), после преобразований получим:
![]()
Откуда х1 = 0 (не подходит, так как отрицательно), х2 = 6.
Следовательно, раньше расходовалось на один комплект мебели 6 м2 древесины, а теперь

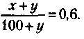
103. Обозначая через х количество калийного удобрения в 100 кг смеси, а через у количество калийного удобрения, которое нужно добавить к ней, можно записать условие задачи следующим образом:
![]()

Решая систему уравнений, получим у = 50 кг.
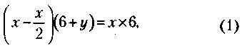
104. Обозначая через х среднюю скорость первого автомобиля, а через у среднюю скорость
второго автомобиля, можно записать условие задачи следующим образом:
![]()

Решая систему из двух уравнений с двумя неизвестными, получим:
![]()
Решая квадратное уравнение по стандартной формуле, получим:

х1 = 240 (х2 не подходит, так как отрицательно). Итак, средняя скорость первого автомобиля равна 240 км/ч, а второго 240 - 60 = 180 км/ч.
105. Вопрос: «Соответствует ли ваша правдивость честности компании?» Правдивый представитель при честной сделке на этот вопрос ответит «да», а при нечестной – «нет»; лживый же будет отвечать противоположно истине: если честность сделки и правдивость представителя не совпадают, он вместо «нет» ответит «да», и наоборот.
Возможные ситуации и соответствующие ответы сведены в следующую таблицу:
Возможные ситуации
Ответы
Сделка
Представитель
Честная
Нечестная
Правдивый
Правдивый
Да
Нет
Честная
Нечестная
Лживый
Лживый
Да
Нет
Из таблицы видно, что каким бы ни был представитель компании, положительный ответ всегда говорит о честности сделки, а отрицательный – о ее нечестности.
106. Обозначим через х уменьшение годового дохода предприятия в результате повышения цены на товар с у на z у. д. ед. и соответствующего падения объема продаж. Тогда условие задачи будет математически выглядеть так:
![]()

Учитывая, что до повышения цены имело место равенство
![]()
найдем у = 8 у. д. ед.
Тогда из (2) следует, что

откуда
![]()
Из (1) следует, что
![]()
Следовательно, увеличение цены на товар и соответствующее уменьшение объема продаж (спроса) не привело к изменению годового дохода предприятия.
107. Обозначая через х объем продаж до его падения, а через у – соответствующую цену товара, запишем условие задачи следующим образом:

или, что то же самое,

1) Из (2) следует 6 х 2 = (6 + у) 2, откуда у = 6.
2) Из (1) следует, что х может быть любым, так как на него можно сократить обе части уравнения:

108. Обозначим величину уценки через х раз, тогда условие задачи будет выглядеть так:

Откуда