Менеджмент. Учебник - Страница 179

89. По формуле теории вероятностей число размещений с повторениями (букв) из п элементов
![]()
Отсюда
![]()
90. По формуле теории вероятностей решение равно числу перестановок, деленному на число размещений с повторениями перестановок из 4! элементов:

91. 1) Сокращение производительности труда в день при этом равно:

а в рабочую неделю 0,033 х 6 = 0,198.
Следовательно, производительность труда должна вырасти на 19,8 %.
2) Сокращение производительности труда в день при этом равно:

а в рабочую неделю 0,013 х 6 = 0,078.
Следовательно, производительность труда должна вырасти на 7,8 %.
3) Сокращение производительности труда в день при этом равно:

а в рабочую неделю 0,053 х 6 = 0,318.
Следовательно, производительность труда должна вырасти на 31,8 %.
92. План января был выполнен на 100 + 6 = 106%, план февраля - на 106 + (6 % от 106) = 106 + 6,36=112,36%, план марта – на 112,36 + (6 % от 112,36) = 112,36 + 6,74 = 119,1%.
За все три месяца план был выполнен на 106 + 112,36 + 119,1 = 337,46 %, что соответствует среднемесячному 337,46:3 = 112,49 %.
Следовательно, среднемесячный план был перевыполнен на 112,49 - 100 = 12,49 %.
93. Первая бригада отработала 5 х 10 = 50 человеко-дней, вторая бригада – 7 х 4 = 28, объединенная бригада – 12 х 5 = 60. Всего общая работа составила 50 + 28 + 60 = 138 человеко-дней. А заработок на одного рабочего той и другой бригады равен 1518 : 138 = 11 уд. ед. в день.
Следовательно, каждый рабочий в первой бригаде получил:
11 х (10 + 5) = 165 у. д. ед.,
а каждый рабочий во второй бригаде
11 х (4 + 5) = 99 у.д.ед.
94. Предприятие № 1 за месяц выполняет

заказа, предприятие

предприятие № 3 - 14 + 19 = 33 %.
А все три предприятия за один месяц выполняют 14 + 19 + 33 = 66 % заказа.
Следовательно, весь заказ (100%) все три предприятия выполнят за

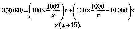
95. Обозначая количество изделий, планируемых к выпуску за год, через х, можно записать условие задачи следующим образом:

Отсюда, после преобразований, х= 28 000 изделий.
96. Обозначая искомый срок одновременной работы всех цехов над заказом через х, можно представить условие задачи следующим образом:

Отсюда х = 12 дней.
Итак, 1) выпуск цеха № 1 должен составлять 100 х 12 = 1200 единиц, выпуск цеха № 2 – 40 х 12 = 480, выпуск цеха № 3 - 50 х 12 = 600; 2) срок совместной работы над заказом должен быть равен 12 дням.
97. В I квартале выполнено 25 % годового плана, во II квартале – 25 х 1,05 = 26,25 %, в III квартале - 26,25 х 1,15 = 30,19 %, в IV квартале - 30,19 х 1,25 = 37,73 %.
Всего за год выполнено 119,17 % годового плана.
1) Перевыполнение плана составляет 119,17 – 100 = 19,17 %.
2) Это соответствует

98. Соотношение 3 : 7 : 15 означает, что линейных руководителей должно быть или 12%, функциональных руководителей – , или 28 %, и мастеров – , или 60 %. Фактически же линейных руководителей оказалось 12 % + (25 % от 12 %) = 15 %, функциональных руководителей - 28 % + (25 % от 28 %) = 35 %, а мастеров - 60 % - (25 % от 60 %) = 45 %. Общий процент нанятого персонала составляет, таким образом, 15 + 35 + 45 = 95 %, что соответствует 95 принятым работникам.
Отсюда количество принятых линейных руководителей равно 15, функциональных руководителей – 35 и мастеров – 45.
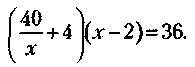
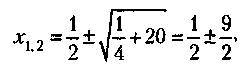
99. Обозначая через х плановое время выпуска 40 комбайнов, можно записать условие задачи следующим образом:

После преобразования получим х2 – х - 20 = 0. Решая квадратное уравнение по стандартной формуле, получим:

х1 = 5 дней (х2 не подходит, так как отрицательно).
Следовательно, фактически 36 комбайнов были выпущены за 5 - 2 = 3 дня. При этом ежедневно выпускалось

100. Обозначив через х количество участков, нарезанных в первой части земли, можно записать условие задачи следующим образом:

После преобразований получим х2 + 25х - 150 = 0.
Решая квадратное уравнение по стандартной формуле, получим:

х1 = 5 участков (х2 не подходит, так как отрицательно).
Следовательно, 1) количество участков, нарезанных в первой части земли, равно 5, а во второй – 5 + 15 = 20; 2) площадь участка в первой части земли равна 2 га, а во второй – 1 га.