Менеджмент. Учебник - Страница 176

41,7 тыс. у. д. ед. – это и есть действительная стоимость дома на момент покупки.
Следовательно, покупатель, назвав сумму 40 тыс. у. д. ед., предложил весьма выгодную для себя сделку.
53. Обозначив количество голосов, поданных за различные виды пасты, их начальными буквами, можно представить результаты маркетингового исследования в таком виде:

Суммируя первые три выражения, получим:
![]()
Складывая (*) и (**), получим:
4А = 4500, откуда А = 1125 голосов.
Соответственно:

54. 1) Общая прибыль от операции купли-продажи квартир составляет 14% - 11 % = 3 %. Следовательно, цена покупки обеих квартир равна 500 тыс. у. д. ед. (3 % от 500 = 15, т. е. 515-500).
2) Обозначая цену покупки 1-й квартиры через х, а 2-й квартиры через у, можно записать условие задачи следующим образом:

Решим систему из двух уравнений с двумя неизвестными.

откуда

Цена продажи 1-й квартиры 280 х (1+0,14) = 280 х 1,14 = 319,2 тыс. у. д. ед.
Цена продажи 2-й квартиры 220 х (1-0,11) = 220 х 0,89 = 195,8 тыс. у. д. ед.
55. Обозначив через х количество оплаченных компьютеров (без премии), через у – стоимость каждого оплаченного компьютера, а через у – количество премиальных компьютеров, можно представить условие задачи следующим образом:

Решим полученную систему из трех уравнений с тремя неизвестными:

Подставляя значение у в (2), получим:

Подставляя значение х в (3), получим:


Итак, 1) без учета премии было приобретено 16 компьютеров по цене 750 у. д. ед.; 2) в виде премии было получено 2 компьютера.
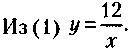
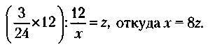
56. Обозначив через х количество первоначально оплаченных дубленок, а через у – цену дубленки без учета стимулирования, можно записать условие задачи следующим образом:
![]()
![]()
Решая систему из двух уравнений с двумя неизвестными и подставляя значение у из (1) в (2), получим:
![]()
Решая квадратное уравнение (*) по стандартной формуле, получим:

х1 = 24 (х2 не подходит, так как отрицательно).
57. Обозначая месячный спрос и цену до ее снижения через х и у соответственно, записываем условие задачи так:
![]()
![]()
Решая систему из двух уравнений с двумя неизвестными, приходим к следующему квадратному уравнению с одним неизвестным:
х2 + 400х - 960 000 = 0.
Применяя стандартную формулу для решения квадратных уравнений, получим:

х1 = 800 единиц; (х2 не подходит, так как отрицательно),

После сезонного снижения цены до 30 - 10 = 20 у. д. ед. месячный спрос повышается до 800 + 400 = 1200 единиц.
58. Обозначим через х первоначальное количество копеек. Тогда в конце игры будет соответственно рубля и х копеек.
И условие задачи можно записать так:
100х + у = 2.
Откуда следует:
98х – 99у = 0, (*)
х и у должны быть обязательно целыми числами (это рубли и копейки).
Анализируя условие (*), можно сообразить, что эта целочисленность будет иметь место, лишь если у = 98.

59. Когда менеджер начал обход, у него оставалась половина рабочего времени. Эта половина состоит из трех частей: две – на обход и одна в кабинете. Следовательно, на обход менеджер затратил от половины, т. е. рабочего времени.