Менеджмент. Учебник - Страница 174

Из (1) следует:

Совместно решая (1) и (2), получим:

Подставляя (*) в (**), получим:

![]()
Общая численность работников объединения равна:
![]()
44. Обозначим время от полудня до противостояния стрелок через х, а число делений, проходимых часовой стрелкой от цифры 12 до момента противостояния, – через у. Тогда условие задачи можно записать следующим образом:

где – скорость минутной, а – скорость часовой стрелки.

1) Следовательно, заседание должно начаться в 12 ч 32 мин 43,6 с.
2) Следующее противостояние должно произойти через 2х часов, т. е. через

45. Проанализируем ситуацию с помощью графика (см. рис.).
По оси х откладывается время возможного прихода партнера А, а по оси у – партнера Б. Тогда время, в течение которого они могут встретиться, будет соответствовать заштрихованному участку графика. Действительно, если партнер А придет на встречу в начале срока (точка 0), то его встреча с партнером Б состоится, лишь если Б придет на встречу в пределах от 0 до 20 мин от начала срока. Если он придет позже, встреча не состоится, так как А уже уйдет. Если же А придет на встречу на 40-й мин, то он встретится с Б, лишь если тот придет между 20-й и 60-й мин. И так для всех точек заштрихованной области.

Вероятность встречи может быть найдена как отношение шансов, благоприятствующих встрече (заштрихованная область), ко всем возможным шансам (площадь квадрата со стороной в 60 мин). При этом, как видно из рисунка, площадь, соответствующая всем возможным шансам, равна:
![]()
а площадь, соответствующая благоприятным шансам, равна разности полученной площади и двух треугольников:

Следовательно, искомая вероятность встречи равна:

Иными словами, встреча состоится 5–6 раз из 10.
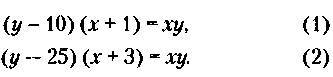
46. Обозначим новые оклады работников начальными буквами соответствующих специальностей. Тогда условие задачи можно будет записать так:

Группируя оклады, получим:
![]()
Поскольку Р + М = 2500, выражение (*) можно представить так:
![]()
откуда

И далее:

1) Учитывая, что эти оклады составляют 100 - 25 = 75 % от соответствующих окладов до сокращения, несложно рассчитать, чему были равны тогда упомянутые оклады (пометим их штрихами):

Расходы на зарплату составляли удвоенную сумму этих окладов:

2) Следовательно, экономия средств, полученная предприятием за счет сокращения, равна:
14400-11 300 = 3100 у. д. ед. в месяц.
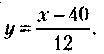
47. Обозначив через х количество персонала на предприятии до реорганизации, а через у – количество дней, на которые хватает при этом зарплаты, запишем условие задачи следующим образом:
![]()
Решая это уравнение относительно второго и третьего равенств, получим:
180у = 15х - 600,
откуда

Из (*) следует также, что
![]()
Подставляя в последнее выражение значение у, получим:
![]()
откуда х = 400 человек, у = 30 дней.
Следовательно:
1) В настоящее время на предприятии работает 400 человек.
2) Величина месячной (30-дневной) зарплаты составляет: