Менеджмент. Учебник - Страница 172
Последняя разность может иметь место лишь при следующих значениях пары т и р:

Первая пара не подходит, так как число 4 уже имеет «хозяина» – ему равно q. Следовательно, т = 6р = 2.
Для п остается лишь значение, равное 8.
![]()
Если выстроить значение этих показателей по ранжиру (р, q, т, п), то эта последовательность и будет соответствовать последовательности номеров фирм-партнеров из второй четверки фирмам первой четверки (где была последовательность т, п, р, q):
фирма № 5 является партнером фирмы № 3,
фирма № 6 является партнером фирмы № 4,
фирма № 7 является партнером фирмы № 1,
фирма № 8 является партнером фирмы № 2.
Подставляя соответствующие значения в (1), нетрудно рассчитать количество контейнеров, поставляемых фирмами второй четверки.
Итоговые данные по поставкам всеми фирмами будут следующими:

33. Обозначим начальные фонды, равные у обоих предприятий, через х. Тогда к моменту окончания первой операции предприятие А обладало фондом в размере, равном х + 30, а предприятие Б – х - 30 тыс. у. д. ед. К моменту окончания второй операции фонд предприятия А составлял:

34. Взнос предпринимателя В, равный 320 тыс. у. д. ед., составляет прежнего складского капитала. Значит, весь этот капитал был равен 320 х 3 = 960 тыс. у. д. ед. Причем в этом капитале доли А и Б относились как 1,5 : 1, т. е. были соответственно равны 576 и 384 тыс. у. д. ед.
Теперь нужно разделить сумму, равную взносу В, между А и Б так, чтобы у каждого из них оказалось по от нового складского капитала, который будет так же, как и старый, равен 960 тыс. у. д. ед. (взнос В не войдет в этот капитал, так как будет роздан А и Б). Для этого нужно вернуть предпринимателю А столько денег, чтобы его доля после этого оказалась равной 960 : 3 = 320 у. д. ед. Иными словами, он должен получить 576 - 320 = 256 тыс. у. д. ед. Предприниматель Б должен получить 384 - 320 = 64 тыс. у. д. ед.
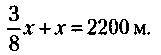
35. Обозначим через длину отрезка проволоки, причитающейся владельцу Б. Тогда условие задачи можно будет записать так:

Решая это уравнение, получим:

Владельцу А будет причитаться:
![]()
36. Обозначим через х стоимость месячного содержания помещений. Тогда условие задачи можно записать так:

Откуда, после преобразований, х = 150 тыс. у. д. ед.
Вычитая полученную стоимость содержания помещений из дохода, получим величину ежемесячных потерь арендатора:
![]()
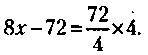
37. Обозначим через х количество участков для субаренды. Тогда выручка за субаренду составит 8х, годовой заработок будет равен

и условие задачи запишется так:

После преобразований получим:

Решая квадратное уравнение по стандартной формуле, получим:

Следовательно:
1) Количество участков равно 12.
2) Прибыль арендатора равна:
![]()
38. Обозначим через Ст, Ср и Мл обобщенных представителей старших, средних и младших владельцев каждой группы. Тогда по условиям задачи:
![]()
Это равнозначно следующим обозначениям:
![]()
так как, подставляя значения из (2) в (1), получаем тождество:

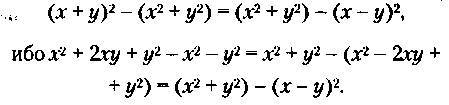
Далее, вводя новые обозначения, можно показать, что имеют место следующие равенства:
![]()
так как, подставляя значения из (3) в (2), получаем тождество:

Обозначим
![]()
Тогда с учетом (2) и (3) можно записать:

Подбираем значения m и n исходя из следующих условий:
– т > п (иначе z будет отрицательным или равным 0, что противоречит условиям задачи);
– т и п должны быть целыми положительными числами разной четности (разная четность т и n объясняется так: 1) из Ср2 = х2 + у2 следует разная четность х и у – сторон прямоугольного треугольника; 2) поскольку у = 2ху в любом случае четен, х должен быть нечетным; 3) чтобы х был нечетным, необходимо, чтобы тип, связанные с х зависимостью х = т2 - п2, были разной четности);