Менеджмент. Учебник - Страница 162
123. Иванов и Петров заправляют свои автомобили бензином из общей бочки. Установлено, что Иванов способен израсходовать весь бензин в одиночку за 14 дней, а совместно с Петровым – за 10 дней.
За сколько дней сможет израсходовать всю бочку Петров, если станет пользоваться ею один? (Попробуйте вначале решить эту задачу на глаз.)
124. Чем отличается спрос от потребности, а потребность от нужды?
125. Перед вами два яблока. Первое на 1/4 больше второго, но зато стоит в 1,5 раза дороже.
Какое из них выгоднее покупать? (Качество яблок будем считать одинаковым.)
126. Вам предлагают на выбор куриные яйца двух размеров. Длина окружности первого яйца 15 см, второго – 18 см. Второе, однако, в 1,5 раза дороже первого.
Какое яйцо выгоднее?
127. Что тяжелее: мешок муки мелкого помола или такой же по объему мешок муки крупного помола?
128. Экспедитору выдали для закупки товаров 480 тыс. у. д. ед. Дано задание купить ровно 20 единиц товаров трех видов: радиоаппаратуру по 30 тыс. у. д. ед. за единицу, одежду по 10 тыс. у. д. ед. за единицу, бытовую технику по 5 тыс. у. д. ед. за единицу, израсходовав при этом все деньги.
Какое количество товаров каждого вида должно быть закуплено?
129. Специалист по рекламе утверждает, что он может, задав 16 вопросов, отгадать любой товар, который вы собираетесь ему предложить. Даже если вы будете отвечать на его вопросы «да» или «нет».
Не переоценивает ли он свои способности?
130. Продавец предлагает вам взвесить товар (например, конфеты) на неисправных чашечных весах (разрегулирование произошло из-за смещения чашек относительно центра весов) следующим образом:
– гиря, равная половине нужного вам веса товара, кладется на левую чашку весов, а часть товара – на правую, и веса уравновешиваются;
– затем гиря перекладывается на правую чашку весов и снова уравновешивается частью товара.
Идея такого взвешивания заключается в том, что если в первом случае получается недовес, то он компенсируется перевесом при втором взвешивании.
Так ли это?
131. На бензоколонку завезли 36 тонн высокосортного бензина. После израсходования 12 тонн этого бензина в емкость закачали столько же бензина низкого сорта. После того как 9 тонн образовавшейся смеси было израсходовано, их тоже заменили низкосортным бензином. Затем таким же образом заменили еще 8 тонн смеси.
Какой процент высокосортного бензина остался на бензоколонке в результате проведенных операций?
132. Единица товара весит 150 граммов. Сколько будет весить миллион единиц такого товара? (Решите устно.)
133. Придумайте дешевый способ создания часов с диаметром циферблата 10 метров на высокой башне.
134. Продается гарнитур бижутерии, состоящий из клипсов, кольца, броши и заколки для волос. Брошь стоит 120 у. д. ед., заколка для волос – 25 у. д. ед. Клипсы с брошью втрое дороже, чем кольцо с заколкой, кольцо же с брошью вдвое дешевле, чем клипсы с заколкой.
Сколько стоят клипсы и кольцо?
135. (Задача Эйлера). Две крестьянки принесли на рынок вместе 100 яиц, одна больше, чем другая; обе выручили одинаковую сумму. Первая тогда сказала второй: «Будь у меня твои яйца, я выручила бы за них 15 крейцеров». Вторая ответила: «А будь твои яйца у меня, я выручила бы за них 6 крейцеров».
Сколько яиц было у каждой?
136. Вы продаете товар по 1000 руб. за штуку. Затраты на единицу товара составляют 750 руб.
Чему равна ваша прибыль и норма прибыли (рентабельность)?
137. Выручка равна 2500 руб.
Какими должны быть затраты, чтобы норма прибыли (рентабельность) равнялась 25 %?
138. Масса прибыли, направляемая на развитие предприятия (накопление), равна 10 млн у. д. ед. Масса прибыли, направляемая на оплату труда (потребление), равна 5 млн у. д. ед.
Какова норма накопления?
139. Масса прибыли равна 5 млн у. д. ед., норма прибыли – 25 %.
Определить: 1) затраты; 2) выручку.
140. Выручка от продажи продукции составила 100 млн у. д. ед. Торговые издержки – 20 млн у. д. ед. Оплата труда рабочих предприятия – 30 млн у. д. ед. Материальные затраты – 10 млн у. д. ед.
Найти: 1) прибыль; 2) норму прибыли (рентабельность).
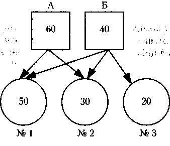
141. Имеются два производителя товаров (А и Б) и три потребителя товаров (№ 1, № 2 и № 3). Все эти элементы каналов распределения действуют независимо. Каждый производитель располагает определенным количеством товара: 50, 30, 20 (см. рис.). Относительная величина прибыли (эффективность) каждого из производителей при продаже товаров каждому из потребителей показана в таблице, помещенной на рисунке (данные приведены в у. д. ед.).


Какая организация каналов распределения наиболее выгодна?
142. Торговой фирме необходимо сделать заказ предприятию-производителю на поставку одного из видов бытовых электроприборов. Годовая стоимость заказа равна 900 млн руб. Стоимость издержек изготовления партии товаров – 10 млн руб. Стоимость издержек хранения товара – 20 % (0,2). Стоимость одного электроприбора – 10 тыс. руб.
Какова стоимость оптимальной партии товара и ее натуральный объем?
143. На рынке орехи стоят 1000 у. д. ед. за 1 кг, а очищенные – 3000 за 1 кг.
Какие орехи выгоднее покупать (не считая затрат на их очистку), если в 1 кг орехов в среднем содержится 400 г ядер? (Попробуйте вначале решить эту задачу на глаз.)
144. В наследство от бабушки вам досталось 9 золотых монет. В завещании указано, что одна из них фальшивая, отличающаяся от настоящих несколько меньшим весом. Это отличие можно установить лишь с помощью очень точных весов. Стоимость одного взвешивания 100 у. д. ед. Вы можете воспользоваться гирями (вес монет неизвестен) или взвешивать монеты по отношению друг к другу, раскладывая их в любом количестве по двум чашкам весов.
Во сколько может обойтись вам обнаружение фальшивой монеты?
145. Вы с компаньоном собираетесь поровну разделить имущество предприятия. Как это сделать справедливо и не прибегая к посторонней помощи?
146. Как разделить имущество между несколькими членами товарищества, не прибегая к посторонней помощи?
147. У разорившегося предпринимателя спросили, сколько он имел капитала, когда объявил себя банкротом. Ответ был следующим: «Если бы к этому капиталу прибавить миллион рублей, то получилось бы столько, сколько мне нужно было, чтобы не разориться, а если бы прибавить два миллиона, то получилось бы вдвое больше того, что мне нужно было, чтобы не разориться».
Сколько у предпринимателя было капитала, когда он объявил себя банкротом?