Математический аппарат инженера - Страница 22
Статистические вероятности широко используют на практике. Например, при изучении большого числа данных установлено, что частота рождения девочек равна 0,482. Если известно, что из 10000 конденсаторов бракованных оказалось 116, то в аналогичных условиях следует ожидать появление негодного конденсатора с вероятностью 0,0116 или 1,16%.
5. Множество событий. Совокупность всех возможных исходов при данном комплексе условий образует множество элементарных событий. Любое событие рассматривается как подмножество этого основного множества (универсума).
Например, множество всех исходов при бросании двух игральных костей содержит 6·6 = 36 элементов. Каждый из них переставляет собой упорядоченную пару (a, b), где a и b — числа очков, выпавших соответственно при бросании первой и второй кости. Событию, заключающемуся в выпадании дубля, соответствует А (дубль) = {(1,1), (2,2), (3,3), (4,4), (5,5), (6,6) } а выпаданию в сумме меньше шести очков — подмножество В (меньше 6 очков) = {(1,1), (1,2), (1,3), (1,4), (2,1), (2,2), (2,3), (3,1), (3,2), (4,1) }.
Выбор трех из пяти кандидатов {a, b, c, d, e} имеет C53 = 10 исходов, которые и образуют множество элементарных событий. Выбору кандидата a (среди трех кандидатов) соответствует событие
- 76 -
A (выбор a) = {(abc), (abd), (abe), (acd), (ace), (ade) }, выбору кандидатов b и d — событие B (выбор b и d) = {(abd), (bcd), (bde)}, выбору только одного из кандидатов b или d (но не обоих вместе) — событие С (выбору или b или d) = {(abc), (abe), (acd), (ade), (bce), (cde)}.
6. Несовместные события. События А и В называют несовместными, если соответствующие им подмножества не пересекаются, т.е. A∩B = ∅ (например, выпадение пр бросании двух игральных костей дубля и нечетного числа очков). Если из осуществления события А неизбежно следует событие В, то А является подмножеством В, т.е. A ⊂ B или A ∩ B = A (например, из выпадания дубля следует событие, заключающееся в выпадании четного числа очков). Подобные события всегда совместные.
Событие, заключающееся в реализации несовместных событий А или В, соответствует их объединению A ∪ B или дизъюнктивной сумме A + B и его вероятность равна сумме вероятностей P(A) и P(B), т.е.
P(A + B) = P(A) + P(B).
Действительно, если mA и mB — числа исходов, благоприятствующих событиям А и В, то появлению события А или В будет благоприятствовать mA + mB исходов из общего числа n исходов, поэтому
Этот вывод естественно обобщается на любое число несовместных событий, т.е.
P(A1 + A2 + ... + An) = P(A1) + P(A2) + ... + P(An).
Если объединение попарно несовместных событий составляет основное множество, то появление одного из них является достоверным событием, т.е. P(A1 ∪ A2 ∪ ... ∪ An) = P(A1 + A2 + ... + An) = 1. Говорят, что такие события образуют полную систему событий, а их вероятности удовлетворяют нормирующему условию
P(A1) + P(A2) + ... + P(An) = 1.
В частности, P(A ∪ A̅) = P(A) + P(A̅) = 1, откуда следует выражение для вероятности противоположного события
P(A̅) = 1 - P(A) .
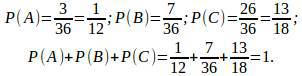
Например, при бросании двух игральных костей полную систему образуют несовместные события: выпадение меньше четырех
- 77 -
очков (А), выпадение четырех или пяти очков (В) и выпадение больше пяти очков (С). Число благоприятствующих им элементарных событий mA = 3, mB = 7, и mC = 26, следовательно, имеем:

7. Независимые события. События А и В называются независимыми, если вероятность одного из них не зависит от исхода другого. Так, число выпавших очков при каждом бросании игральной кости не зависит от результатов предыдущих испытаний. Вероятность вынуть белый шар из урны, в которой находится белых и черных шаров, не зависит от цвета шара, вынутого в предыдущем испытании, если каждый раз он возвращается в урну. Однако если ранее вынутый шар не возвращается, то эта вероятность изменяется после каждого испытания и, следовательно, вероятность его исхода будет зависеть от предыдущего исхода. Пусть например, в урне находится 2 белых и 3 черных шара. Вероятность вынуть белый шар до испытания равна 2/5, а после него она становится 1/4, если был вынут белый шар, и 1/2, если был вынут черный шар.
Событие, заключающееся в реализации как события А, так и события В, соответствует пересечению множеств, и его вероятность при независимости событий А и В равна произведению их вероятностей, т.е.
P(A ∩ B) = P(A)P(B).
Это соотношение можно доказать на основе классического определения вероятности (3). Пусть P(A) = m1/n1 и P(B) = m2/n2. Если события А и В независимы, то при каждом из m1 исходов, благоприятствующих событию А, будет также m2 исходов, благоприятствующих событию В. Значит, число исходов, благоприятствующих свершению как события А, так и события В, будет m1 m2. Аналогично выводим, что общее число возможных исходов равно n1 n2. Поэтому
Для нескольких независимых событий формула принимает вид:
P(A1 ∩ A2 ∩ ... ∩ An ) = P(A1)P(A2)...P(An).
Пусть, например, устройство состоит из трех блоков, вероятности безотказной работы которых в течение времени t равны
- 78 -
соответственно P(A1) = 0,7; P(A2) = 0,8; P(A3) = 0,9. Отказ в работе хотя бы одного из блоков приводит к отказу всего устройства, причем отказы блоков происходят независимо. Тогда вероятность безотказной работы устройства P(A) = P(A1)P(A2)P(A3) = 0,7 · 0,8 · 0,9 = 0,504.
8. Условная вероятность. Если события А и В зависимы, то как указывалось в (7), после наступления одного из них, например А, вероятность другого будет отличаться от его вероятности P(B), вычисленной без учета наступления события А. Вероятность события В при условии, что уже произошло событие А, называют условной вероятностью и обозначают через PA(B) или P(B/A). Поэтому формула для вероятности одновременного наступления двух зависимых событий должна быть записана в виде:
P(A ∩ B) = P(A)PA(B).
Например, вероятность вынуть два белых шара из урны, в которой находятся 2 белых и 3 черных шара (предполагается, что вынутый шар не возвращается в урну) равна произведению вероятности вынуть белый шар первый раз (событие А) на вероятность вынуть белый шар второй раз (событие В) при условии, что первым был белый шар (произошло событие А)б т.е. P(A ∩ B) = 2/5 · 1/4 = 1/10. Если вынутый шар возвращается в урну, то А и В независимы и P(A ∩ B) = 2/5 · 2/5 = 4/25. Из приведенной выше формулы следует выражение
которое часто рассматривается как определение условной вероятности, если каким-либо способом определены P(A ∩ B) и P(A). Ясно, что для независимых событий PA(B) совпадает с P(B).
Вероятность одновременного наступления нескольких зависимых событий выражается формулой
P(A1, A2, ... , An) = P(A1)PA1 (A2)