Математический аппарат инженера - Страница 21
19. При x1 = 1; x2 = 0; x3 = 0 и x4 = 1 найдите значения каждой из следующих функций:

20. Пусть X — множество сотрудников отдела и на этом множестве определены относительно переменной x ∈ X одноместные предикаты P(x), Q(x), R(x), означающие соответственно: x — занимается спортом, изучает иностранный язык, имеет изобретения. Расшифруйте предикаты, образованные с помощью следующих логических операций: а) P(x) ∨ Q(x); б) P(x) Q(x); в) P̅(x) Q(x); г) Q(x) ∼ P(x); д) P̅(x) ∼ (Q(x) ∨ R(x)).
21. Пусть V — множество вершин и E — множество ребер графа, причем ребро e ∈ E соединяет вершины x,y ∈V. Что означают предикаты P(x,y), Q(e, x, y), R(x,e)?
22. Каким десятичным числам соответствуют следующие двоичные числа: а) 1011; б) 1000110; в) 110100111?
23. Переведите в двоичную систему счисления десятичные числа: а) 51; б) 64; в) 125; г) 1000.
24. Выполните в двоичной системе следующие операции над десятичными числами: 21 + 37; 31 + 105; в) 25 · 8; г) (8 + 19) · 11; д) 24 · 8 — 17. Проверьте полученные результаты в десятичной системе.
25. Переведите в двоичную систему счисления с точностью до пяти двоичных знаков после запятой числа: а) 0,131; б) 0,25; в) 175,26.
26. Дайте обоснование правил перевода десятичных числе в двоичные.
27. Сложите двоичные числа 11001110 и 11010111 по обычному правилу и по модулю два. Найдите разность полученных результатов и объясните ее смысл.
6. Вероятности
1. Случайные события. Познание закономерностей объективного мира позволяет выявлять связи между событиями (или явлениями) и условиями, которые определяют их появление. Если можно указать комплекс условий, при каждой реализации которого событие неизбежно происходит, то это событие называется достоверным. Событие, которое заведомо не может произойти при реализации данного комплекса условий, называется невозможным. Очевидно,
- 73 -
невозможность события равносильна достоверности противоположного события.
Однако предсказать с полной определенностью наступление того или иного события удается далеко не всегда. Это связано с тем, что часто указываемый комплекс условий не отражает всей совокупности причинно-следственных связей между явлениями. Либо вызывающие данное событие причины еще недостаточно изучены, либо учет всей совокупности причин настолько сложен, что практически целесообразно ограничить комплекс условий наиболее существенными и поддающимися контролю. Возникающая при этом неопределенностью является признаком случайных событий.
Случайное событие относительно некоторого комплекса вполне определенных условий может произойти, а может и не произойти. Примеры случайных событий: перегорание лампочки через 1000 ч работы, попадание в цель при обстреле тремя снарядами, выпадание пяти очков при бросании игральной кости, победа киевского «Динамо» в предстоящем футбольном чемпионате и т.п.
2. Вероятность. Возможность появления случайного события А при реализации комплекса условий S оценивается количественной мерой, которая называется вероятностью и обозначается как P(A/S) или короче P(A). Обычно вероятность достоверного события принимается равной единице, а невозможного события нулю. Тогда для любого события 0 ≤ P(A) ≤ 1, а вероятность случайного события выражается положительным числом, меньшим единицы.
Интуитивно ясно, что событие тем более вероятно, чем чаще оно происходит в рассматриваемых условиях. Таким образом, вероятность P(A/S) непосредственно связана с частотой появления события А при многократном повторении комплекса условий S. С увеличением числа таких повторений, называемых испытаниями, частота все более точно характеризует значение вероятности.
Закономерности, присущие случайным событиям, имеют массовый характер и называются вероятностными или стохастическими. Они играют большую роль в науке и технике при исследовании сложных явлений, проектировании и планировании.
Существует много различных подходов к определению вероятности, которые обычно сводятся к описанию практических приемов ее вычисления. Основные из них рассматриваются ниже.
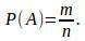
3. Классическое (комбинаторное) определение. Если из общего числа n равно возможных и несовместных исходов (случаев) событию А благоприятствуют m исходов, то вероятность события А
Например, при подбрасывании монеты возможны два исхода — выпадение герба (Г) и цифры (Ц). Эти исходы можно считать равно
- 74 -
возможными (никакой из них не имеет преимущества перед другим) и несовместными (они не могут появиться вместе). Поэтому вероятность герба равна 1/2. Такая же вероятность и выпадания цифры. Полученный результат говорит о том, что при многократных подбрасываниях монеты примерно в половите случаев выпадает греб, причем этот результат тем ближе к действительности, чем больше число испытаний. При подбрасывании двух монет число всех исходов равно четырем {ГГ, ГЦ, ЦГ, ЦЦ}. Вероятность выпадения двух гербов (как и двух цифр) равна 1/4, но герб и цифра будут появляться с вероятностью 2/4 = 1/2, поскольку этому событию благоприятствую два исхода {ГЦ, ЦГ}.
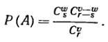
В более сложных случаях для подсчета числа исходов используются комбинаторные методы. Пусть, например, известно, что в партии из r изделий имеется s бракованных. Найдем вероятность того, что из выбранных наугад v изделий w окажутся бракованными (событие А). Общее число исходов равно количеству сочетаний из r изделий по v, т.е. Crv. Благоприятствующие исходы соответствуют сочетаниям из w бракованных и v — w годных изделий. Так как w бракованных можно выбрать Csw различными способами, а v-w годных изделий можно выбрать Cr-sv-w способами, то число исходов, благоприятствующих событию А, будет CswCr-sv-w и следовательно,

Комбинаторное определение возникло в самом начале развития теории вероятностей в связи с изучением шансов в выигрыш в азартных играх. Оно удобно в тех случаях, когда заведомо применимо положение о равновозможности исходов наблюдений (подбрасывание монет и игральных костей, извлечение шаров из урны или карт из колоды, случайная выборка объектов из некоторой их совокупности при статистических исследованиях, распределения и взаимодействия физических частиц и т.п.). В то же время изложенных подход нельзя считать определением вероятности в строгом смысле, так как используемое в нем понятие равновозможности по существу означает равновероятность (вероятность определяется через равновероятность). Кроме того, он оказывается практически бесполезным, если неясно, какие исходы следует считать равновозможными.
4. Статистическое (частотное) определение. Статистический подход основан на регистрации появления события при многократных
- 75 -
наблюдениях в одинаковых условиях. Если событие А появляется в m исходах наблюдений из их общего числа n, то вероятность этого события
Разумеется, бесконечное число наблюдений n можно представить лишь теоретически, а на практике приходится довольствоваться конечным и часто весьма ограниченным числом наблюдений. Получаемое при этом значение для частоты события m/n называют статистической вероятностью. При небольшом числе наблюдений частота события может существенно отклоняться в различных сериях экспериментов, но с увеличением числа наблюдений она все более стабилизируется, сосредоточиваясь вблизи истинного значения вероятности. Так, никто не удивится, если при десятикратных бросаниях монеты герб выпадает 3, 7 или 8 раз. Но если бы при 1000 бросаний герб выпал 300, 700 или 800 раз, то это заставило бы полностью пересмотреть предположение о равновозможности выпаданий герба и цифры или искать какой-то скрытый изъян в проведении экспериментов (известны, например, следующие результаты выпадания герба в десяти сериях, каждая из которых состояла из 1000 подбрасываний монеты: 502, 511, 497, 529, 504, 476, 507, 528, 504, 529).