Маркетинг от потребителя - Страница 11
А некоторые клиенты неприбыльны. Компания не может предложить им то, что им нужно, а они не готовы платить ей столько, сколько она хочет. Затраты на приобретение таких клиентов были очень высокими, но маловероятно, что они принесут прибыль. Еще одна группа неприбыльных клиентов охотится за выгодными сделками. Они никогда не бывают лояльными, а переключаются с одного продукта на другой, обычно руководствуясь снижением цены или промоакциями. Цель клиентоориентированной компании – разобраться во всех уровнях потребительской лояльности и разработать подходящие маркетинговые программы для каждого типа клиентов, чтобы лучше управлять общей прибыльностью своего бизнеса.
1. Как компания вроде Enterprise Rent-A-Car сосредоточивается на клиентах, используя методы, описанные в главе 1?
2. Как высокая степень сфокусированности на клиентах и высокие уровни их удовлетворенности помогают компании Southwest Airlines быть более прибыльной, чем другие авиакомпании?
3. Почему полностью удовлетворенный пользователь Apple может быть более прибыльным, чем отчасти удовлетворенный?
4. Как компании с высокими уровнями удовлетворенности клиентов добиваются более высоких результатов с точки зрения цен на акции, чем средние компании из списка S&P 500?
5. Компания Lexus известна высоким уровнем удовлетворенности клиентов. Как это повлияет со временем на уровень их удержания?
6. Если бы у Lexus средний уровень удержания клиентов составлял 80 %, сколько покупок мог бы совершить средний клиент за весь период взаимоотношений с компанией?
7. Если прибыль новой кофейной компании оказалась выше среднего в первые 2 года работы, но намерение совершить повторную покупку (см. рис. 1.8) стабильно снижается, а показатель удержания клиентов падает с 67 до 50 %, как все эти события повлияют на будущую прибыль?
8. Как влияет на прибыль увеличение срока взаимодействия клиента с онлайновым магазином модной одежды с 4 до 5 лет?
9. Что делает клиентов Apple лояльными и почему лояльные клиенты более прибыльны, чем все остальные?
10. Как часто пользующийся услугами авиакомпании клиент превращается в «пленника»? Какую роль с точки зрения прибыли в настоящем и будущем играют такие потребители?
11. Как вы рекомендовали бы управлять отношениями с постоянным клиентом McDonald’s, сумма покупки которого всегда меньше средней?
12. Какие факторы могут заставить компанию привлекать неприбыльных клиентов?
13. В каких случаях постоянный клиент с коротким сроком отношений с компанией будет более ценным, чем постоянный клиент с длительным сроком?
14. В чем разница в выстраивании отношений с новым и вернувшимся клиентом?
15. При каких условиях вернувшийся клиент компании, поставляющей промышленное оборудование, может иметь более высокую ценность за весь срок взаимоотношений, чем совершенно новый?
Четыре интерактивных инструмента оценки маркетинговой деятельности и практические упражнения, приведенные в этом разделе, помогут вам лучше понять, как взаимодействие с клиентами влияет на прибыльность компании. Зайдите на сайт www.MBM-BEST.com. Вводя нужные данные, вы сможете найти ответы на множество заданных в книге вопросов. Вы также можете ввести иные данные и изучить результаты, после чего сохранить свою работу. Каждый из инструментов соответствует рисунку из главы 1, номер которого указан в скобках.
1.1. Удовлетворенность клиентов и прибыльность (рис. 1.6)
A. Как изменятся средние значения объема продаж и прибыль в расчете на клиента для компании, имеющей 10 % «полностью удовлетворенных» клиентов, 35 % «удовлетворенных» и 55 % «частично удовлетворенных»?
B. Как изменятся средние значения объема продаж и прибыль в расчете на клиента, если компании удастся повысить уровень удовлетворенности клиентов до 35 % «полностью удовлетворенных», 35 % «удовлетворенных» и 30 % «частично удовлетворенных»?
1.2. Удержание и сохранение клиентов (рис. 1.7)
A. Как изменится уровень удержания клиентов, если доля всех неудовлетворенных снизится до 15 %, а всех удовлетворенных – вырастет до 85 %?
B. Используя те же начальные данные, рассчитайте, как изменится показатель удержания клиентов, если доля жалующихся повысится с 10 до 50 %.
1.3. Ценность за весь срок взаимодействия клиента с компанией (рис. 1.13)
A. Как изменится ценность за весь срок взаимодействия клиента с компанией, если этот срок снизится с 5 до 4 лет?
B. Как изменится ценность за весь срок взаимодействия, если этот срок увеличится с 5 до 6 лет, а чистый денежный поток в год 6 составит 60 долл.?
1.4. Потребительская лояльность и прибыльность (рис. 1.14)
A. Как изменится средняя прибыльность в расчете на клиента в случае 25 % лояльных и 25 % постоянных клиентов?
B. Как изменится средняя прибыльность в расчете на клиента при иных показателях: 30 % лояльных, 35 % постоянных, 5 % «пленников», 20 % новых и 10 % неприбыльных?
Приложение 1.1. Таблица текущей стоимости

Формула расчета текущей стоимости:

где ТС – текущая стоимость 1 долл.,
N – число периодов времени до получения 1 долл.,
СД – ставка дисконтирования (стоимость заимствования или желаемая ставка доходности).
Пример I: N = 5 периодов, СД = 10 %

(стоимость 1 долл., полученного через 5 лет, сегодня равна 0,621 долл.).
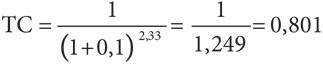
Пример II: N = 2,33 периода, СД = 10 %

(стоимость 1 долл., полученного через 2,33 года, сегодня равна 0,801 долл.)
Глава 2. Маркетинговые показатели и прибыльность маркетинга
Недоверие к маркетингу вызвано во многом отсутствием финансовых показателей, позволяющих оценить его ценность для компании1.
Маркетинговые показатели измеряют результаты маркетинговой деятельности. Маркетинговая аналитика – набор инструментов и данных, использующихся для создания показателей. Для измерения удовлетворенности клиентов в главе 1 мы использовали систему маркетинговой аналитики. Совокупный индекс потребительской удовлетворенности – маркетинговый показатель, как и доля удовлетворенных клиентов.
Как показано на схеме, маркетинговые показатели и прибыльность маркетинга связаны с прибыльностью отдельных подразделений и компании в целом. Маркетерам и менеджерам по продукту важно демонстрировать свой вклад в общую прибыль компании. И в этом им помогают показатели маркетинговой прибыльности. Их важнейшая черта – прямая связь с прибыльностью бизнеса.

Изменение результативности
BioTronics, компания с объемом продаж 390 млн долл., производит специализированное электронное оборудование для биотехнологической отрасли. Несколько лет назад после долгого спада компанию возглавила новая команда. Она реорганизовала деятельность и разработала программы по уменьшению себестоимости единицы продукции, регулированию накладных расходов и усовершенствованию управления активами. Кроме того, новая группа руководителей организовала общую программу обучения продажам, которая позволила торговому персоналу повысить эффективность продаж с 5 до 7,5 млн долл. на одного продавца.