Ледники в горах - Страница 24
Перечисленные выше литологические особенности каменного материала, сконцентрированного в придонных частях ледников, являются показателями гляциодинамических условий его транспортировки. Тот факт, что обломочный материал даже самых прочных кристаллических пород дробится и истирается, подтверждает теоретические предположения, согласно которым придонные слои ледников, обогащенные мореной, являются зоной значительных динамических напряжений. В базальных горизонтах обломки транспортируются, по-видимому, в условиях контрастных вертикальных градиентов скоростей движения льда. Недаром вокруг крупных валунов ясно выражены текстуры уплотнения слоев льда. Широко представлены сдвиговые деформации. В результате образуются многочисленные прослойки режеляционного льда, которые способствуют развитию характерной полосчатости в мореносодержащей толще. Не исключено, что росту напряжений в толще содействуют и сами минеральные включения, уменьшающие пластичность льда.
С увеличением концентрации минеральных включений напряжения частично снижаются за счет формирования сколов и других разрывных деформаций во льду. Вероятно, вследствие этих процессов камни дробятся, на их поверхности появляются четкие сколы и выбоины. Большинство свежерасколотых камней предварительно было обработано льдом. Этот факт косвенно подтверждает предположение о том, что процессы истирания обогащают донную морену рассеянным мелкоземом, снижающим пластичность льда. Основным механизмом движения мореносодержащей толщи становится не пластическое течение льда, а его дискретное скольжение по серии сколов, отчего и разрушаются предварительно обработанные камни. Согласно данным минералогических анализов дробление приводит к расщеплению камней на отдельные минералы.
Не менее интересно присутствие в мореносодержащем льду хорошо окатанных обломков, часть из которых могла быть захвачена ледником из подстилающих рыхлых отложений. Однако обычно такие сглаженные обломки по своей форме сильно отличаются от типичных речных или водно-ледниковых галек.
Эта закономерность наиболее ярко проявляется на Центральном Кавказе и, видимо, вообще присуща донным моренам ледников умеренного типа, поскольку, перемещаясь в условиях интенсивного донного таяния, обломки волочатся и перекатываются по ложу. Перенос обломков в нижних слоях мореносодержащего льда, вероятно, сменяется эпизодическим отложением материала: в частности, в некоторых моренах появляется неупорядоченная ориентировка удлиненных обломков, отклоняющаяся от исправления движения льда в ледниках.
Возможно, в чередовании процессов захвата и отложения камней у ложа ледников отражаются гляциодинамические обстановки донного таяния и динамических напряжений.
Различия материала поверхностных и донных морен практически всегда выражены достаточно резко. Это позволяет выявить долю этих составляющих в отложенных моренах, которые также всесторонне изучались, причем анализировались не только поверхностные, но и внутренние их части. Полученные результаты определенно показали, что в строении большинства ледниково-аккумулятивных форм рельефа преобладает материал, образующийся в результате разрушения ледниками днищ и бортов долин.
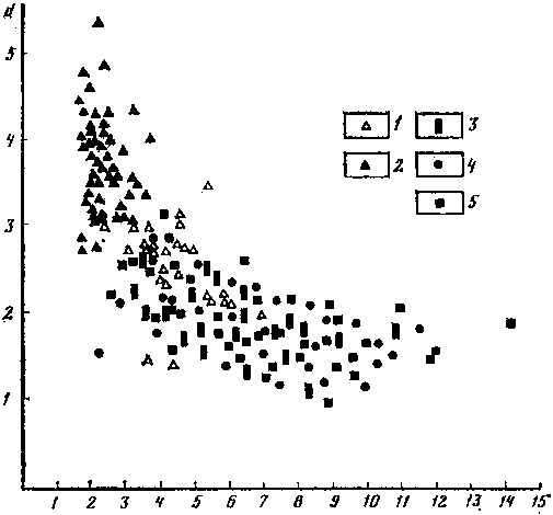
Это заключение об интенсивной экзарационной деятельности горных ледников базируется на массовых данных количественных анализов разнотипных морен. Так, например, на графике связи средневзвешенного диаметра частиц (d) и коэффициента сортировки (s0) мелкозема видна общность отложенных морен с каменным материалом мореносодержащего льда ледников, тогда как срединные морены на графике попадают в совершенно иное поле (рис. 13). Значительная часть каменного материала, перемещаемого в основании ледников, откладывается на ложе еще под движущимся льдом. Фрагмент этого процесса нам удалось наблюдать на леднике Ушба на Центральном Кавказе. Обезвоженный горизонт морены видимой мощностью около 4 м переходил в гроте в мощный прослой мореносодержащего льда.
По мнению французского гляциолога Л. Ллибутри, примеси минеральных частиц влияют на способность льда деформироваться, снижая его пластичность. Это ведет к образованию сколов и отслаиванию от движущегося льда наиболее обогащенных камнями придонных частей ледников.
Горизонты основных морен завершаются конечно-моренными грядами, маркирующими максимальное продвижение ледниковых языков во время накопления этих горизонтов. Таким образом, моренные горизонты в горных долинах отличаются чешуйчатым залеганием. В плане конечная морена имеет форму подковы, обращенной выпуклостью вниз по долине. В центральных частях конечно-моренные гряды часто пропиливаются рекой. Нередко они полностью разрушаются водным потоком. Однако и в этих случаях о пребывании ледников можно догадаться по резкому перегибу продольного профиля реки. Гораздо сложнее опознать конечные морены, когда они замаскированы обвально-осыпными конусами.

Рис. 13. Зависимость показателей гранулометрического состава — средневзвешенного диаметра (d) и коэффициента сортировки мелкозема (s0) в разнотипных моренах
1 — срединные морены, состоящие из смеси продуктов экзарации и субаэрального выветривания; 2 — срединные морены, состоящие исключительно из продуктов субаэрального выветривания; 3 — боковые морены; 4 — мелкозем из мореносодержащего льда; 5 — отложенные морены
Наличие серии конечных морен в горных долинах утвердило мнение, что там находятся следы постепенного сокращения ледников, по крайней мере за последние 20—15 тыс. лет. Это представление отражено в глобальных моделях динамики оледенения, разработанных советскими учеными А. В. Шнитниковым, Е. В. Максимовым и др. Действительно, такая последовательность морен существует в природе. Тем не менее нередки случаи, когда более молодые морены налегают на древние (на Памире, Тянь-Шане и в других горных странах). Иногда конечные морены отдельных стадий полностью разрушаются при очередных наступаниях ледников, следами упомянутых стадий остаются лишь «обезглавленные» горизонты основных морен. Это наблюдалось на высокогорном Кавказе. Таким образом, по числу конечных морен далеко не всегда удается полностью восстановить события ледниковой истории гор.
Высота конечных морен может сильно варьировать. Сезонные конечные морены отличаются небольшими размерами, и их высота составляет 1—2 м. Когда перед концом ледника выражена серия таких морен, поверхность ледникового предполья приобретает сходство с гофрированной стиральной доской. Бывают, впрочем, и крупные конечные морены, которые, как правило, отмечают длительное стационарное положение ледникового фронта. Их высота может достигать нескольких десятков метров.
Впрочем, встречаются и гигантские конечные морены. Например, конечная морена ледника Франца-Иосифа на Южном острове Новой Зеландии поднимается на 430 м на прибрежной равнине. Очень крупные морены отмечают положение концов альпийских ледников, спускавшихся на Ломбардскую равнину. Такие конечные морены привлекают пристальное внимание ученых, поскольку, видимо, отражают важные вехи в жизнедеятельности ледников. Предполагают, что наиболее крупные морены, значительно удаленные от концов современных ледников, сформировались во время последней крупной ледниковой эпохи — 20—15 тыс. лет назад.
Как правило, у конечно-моренных гряд склоны, обращенные к леднику, ниже противоположных склонов. По разнице их высот можно приблизительно оценить мощность горизонтов основных морен.
Размеры морен часто зависят от крупности слагающего их материала. Морены, насыщенные крупными глыбами, более устойчивы к эрозии, поскольку талые воды не в состоянии уносить крупные обломки. На днищах некоторых долин иногда попадаются огромные, отдельно стоящие камни — это все, что осталось от конечно-моренных гряд. При визуальных наблюдениях было установлено, что у концов современных ледников конечные морены содержат глыбы погребенного льда. Такие морены с ледяным ядром, как правило, более распространены в горах Арктики, в умеренных широтах они редки. Геофизические методы показали, что мощность погребенных глыб льда достаточно велика. Со временем ледяное ядро вытаивает и соответственно высота и форма гряды меняются. Сейчас разработаны принципы, позволяющие распознавать морены с ледяным ядром на аэрофотоснимках. В самом общем случае, если конечная морена у конца ледника отличается большими размерами, можно предполагать, что она содержит ледяное ядро. Кроме того, на ее поверхности хорошо заметны термокарстовые воронки, связанные с таянием погребенного льда. С этим же процессом связано возникновение характерных форм оплывания грунта.