Курс истории физики - Страница 96
Этот вывод получен им в последнем разделе «Динамической теории поля», носящем название «Электромагнитная теория света». «...Наука об электромагнетизме, — пишет здесь Максвелл, — ведет к совершенно таким же заключениям, как и оптика в отношении направления возмущений, которые могут распространяться через поле; обе эти науки утверждают поперечность этих колебаний, и обе дают ту же самую скорость распространения». В эфире эта скорость с - скорость света (Максвелл обозначает ее V), в диэлектрике она меньше где

Таким образом, показатель преломления n, по Максвеллу, определяется электрическими и магнитными свойствами среды. В немагнитном диэлектрике где
Это знаменитое соотношение Максвелла.
В «Трактате» Максвелл пишет: «По теории, согласно которой свет есть электромагнитное возмущение, распространяющееся в той же самой среде, через которую распространяются другие электромагнитные действия, V должно быть скоростью света, численное значение которой может быть определено различными методами. С другой стороны, v - число электростатических единиц в одной электромагнитной единице и методы определения этой величины были описаны в предыдущей главе. Они являются совершенно независимыми методами определения скорости света. Следовательно, совпадение или несовпадение величины У и v обеспечивает проверку электромагнитной теории света».
Максвелл дает сводку определений V и v, из которой следует, что «скорость света и отношение единиц имеет тот же порядок величины». Хотя Максвелл не считает это совпадение достаточно точным, он надеется, что в дальнейших экспериментах соотношение между обеими величинами может быть определено более точно. Во всяком случае имеющиеся данные не опровергают теории. Но в отношении закона Максвелла дело обстояло хуже. Был один экспериментальный результат, полученный при определении диэлектрической проницаемости парафина. Она оказалась равной e = 1,975. С другой стороны, значения показателя преломления парафина для фраунгоферовых линий - A, D, H оказались равными п = 1,420 вместо
Эта разница достаточно велика, и ее нельзя отнести за счет ошибки наблюдения. Максвелл считал ее указанием на необходимость значительного улучшения теории строения вещества, «прежде чем мы сможем выводить оптические свойства тел из их электрических свойств». Это очень тонкое и глубокое замечание полностью оправдалось в истории физики.
Во времена Максвелла еще не была открыта длинноволновая область электромагнитного спектра и для нее, естественно, не были промерены значения показателя преломления. Однако в оптической области была уже обнаружена аномальная дисперсия, показавшая, что показатель преломления весьма сложным образом зависит от частоты. Требовались разносторонние экспериментальные и теоретические исследования, чтобы сказать со всей определенностью о справедливости закона Максвелла. Сам Максвелл был глубоко убежден в правильности своих выводов, и его не смущали отступления экспериментальных данных от теоретических значений. Он внимательно следил за исследованиями в этой области, хотя и предупреждал: «Мы едва можем надеяться даже на приблизительную проверку, если будем сравнивать результаты наших медленно протекающих электрических опытов со световыми колебаниями, совершающимися биллионы раз в секунду». Тем не менее он приветствовал результаты Больцмана, измерившего диэлектрические проницаемости газов и показавшего справедливость для ряда газов максвелловского соотношения n2 = е. Он включил результаты Больцмана в свой последний труд «Электричество в элементарном изложении», изданный посмертно. Сюда же включил и результаты русских физиков Н.Н.Шиллера (1848-1910) и П. А. Зилова (1850-1921).
Н. Н. Шиллер в 1872—1874 гг. измерял диэлектрическую постоянную ряда веществ в переменных электрических полях с частотой порядка 10 Гц. Для ряда диэлектриков он нашел приблизительное подтверждение закона n2 = е, но для других, например для стекла, расхождение было весьма значительным. П. А. Зилов в 1876 г. измерил диэлектрические постоянные для некоторых жидкостей. Для терпентина он нашел: е = 2,21, e(1/2) = 1,49, n = 1,456. Зилов прекрасно понимал, что длина электрических волн «бесконечно велика сравнительно с длиной световых волн», и закон Максвелла он формулирует так: «Квадратный корень из диэлектрической постоянной изолятора равняется его показателю преломления для лучей бесконечно длинной волны».

Н. Н. Шиллер и П. А. Зилов были учениками Столетова. Сам Столетов глубоко интересовался теорией Максвелла и предпринял измерение отношения единиц в целях подтверждения вывода Максвелла. В России теория Максвелла встретила сочувствие и понимание, и русские физики много способствовали ее успеху.
В теории Максвелла энергия распределена в пространстве с объемной плотностью. Очевидно, что электромагнитная волна, распространяясь в пространстве, несет с собой энергию. Максвелл утверждал, что, падая на поглощающую поверхность, волна производит давление на эту поверхность, равное объемной плотности энергии. Этот вывод Максвелла встретил критику со стороны В.Томсона (Кельвина) и других физиков. Как мы увидим далее, русский физик П.Н.Лебедев доказал правоту Максвелла.
Учение о движении энергии было разработано русским физиком Н.А.Умовым.
Н. А. Умов родился 23 января 1846 г. в семье симбирского врача. По окончании в 1863 г. Первой московской гимназии УМОВ поступил в Московский университет, который окончил в 1867 г. кандидатом. В 1871 г. Умов защищает магистерскую диссертацию «Теория термомеханических явлений в твердых упругих телах» и избирается доцентом Новороссийского университета в Одессе. В 1874 г. он защищает докторскую диссертацию «Уравнения движения энергии в телах». Диспут был трудным. Идея движения энергии казалась неприемлемой даже таким физикам, как А. Г. Столетов. В 1875 г. Умов становится экстраординарным, а в 1880 г. ординарным профессором Новороссийского университета. В 1893 г. он переезжает в Москву в связи с избранием его профессором университета. Через три года он занимает кафедру физики, освободившуюся после смерти Столетова.

Под руководством Умова проектируется и строится здание физического института университета. Умер Умов 15 января 1915 г.
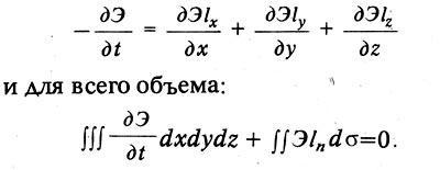
В своей работе «Уравнения движения энергии в телах» Умов рассматривает движение энергии в среде с равномерным распределением энергии по всему объему, так что каждый элемент объема среды «заключает в данный момент определенное количество энергии». Умов обозначает объемную плотность энергии через Э, а через lx, 1y, lz - «слагающие по прямоугольным осям координат х, у и z скорости, с которой энергия движется в рассматриваемой точке среды». Умов устанавливает далее дифференциальное уравнение, которому подчиняется изменение плотности энергии Э во времени:

Так же как и Максвелл, Умов обозначает частные производные через

Сегодня мы пишем наоборот:

Таким образом, изменение энергии внутри объема определяется ее потоком через поверхность. Через каждую единицу поверхности в единицу времени течет количество энергии Эl„, равной нормальной составляющей вектора Э1 = =у. Этот вектор ныне называется вектором Умова.
17 декабря 1883 г. Рэлей представил Королевскому обществу сообщение Джона Пойнтинга (1852—1914) «О переносе энергии в электромагнитном поле». Это сообщение было прочитано Пойнтингом 10 января 1884 г. и опубликовано в трудах общества в 1885 г., т. е. спустя 11 лет после публикации Умова. Не зная этой публикации, появившейся в Одессе в 1874 г. отдельной брошюрой, Пойнтинг решает тот же вопрос применительно к случаю движения электромагнитной энергии. Исходя из максвелловского выражения для объемной плотности электромагнитной энергии, Пойнтинг находит теорему, которую формулирует следующим образом: «Изменение суммы заключенных внутри поверхности электрической и магнитной энергий в секунду вместе с теплом, развиваемым токами, равно величине, в которую каждый элемент поверхности вносит свою долю, зависящую от значений электрической и магнитной силы на этом элементе».