Курс истории физики - Страница 46
Он окончательно порвал с геометрическими методами Ньютона и с гордостью заявлял, что в его «Аналитической механике» совершенно отсутствуют какие бы то ни было чертежи. «Я поставил себе целью,— пишет Лагранж в предисловии к своему труду,— свести теорию механики и методы решения связанных с нею задач к общим формулам, простое развитие которых дает все уравнения, необходимые для решения каждой задачи».
Жозеф Луи Лагранж родился 25 января 1736 г. в Турине. Он рано начал интересоваться математическими науками и уже в 18 лет получил самостоятельные результаты в области дифференциального, интегрального и вариационного исчислений. В 19 лет он стал профессором артиллерийской школы в Турине. Здесь он организовал ученое общество, развившееся в известную Туринскую академию, в печатном органе которой Лагранж публиковал свои мемуары, привлекшие внимание тогдашних математиков. Через пять лет, в 1759 г., двадцатитрехлетний Лагранж по представлению Эйлера был избран членом Берлинской Академии наук.
В 1766 г. он в связи с отъездом Эйлера заменял его на посту президента физико-математического класса Берлинской Академии наук и оставался на этом посту до 1787 г. В 1788 г. накануне Великой французской революции Лагранж переезжает в Париж, В этом же году выходит его труд «Аналитическая механика», изданный в Париже на французском языке.
После революции Лагранж был назначен председателем Комиссии по установлению метрической системы мер. С момента организации Нормальной и Политехнической школ Лагранж вел в них педагогическую работу и немало способствовал укреплению авторитета Политехнической школы как ведущего научного центра математических наук.
Умер Лагранж 10 апреля 1813 г.
«Аналитическая механика» Лагранжа состоит из двух основных разделов: статики и динамики. Каждому из этих разделов предпосылается вводная глава, содержащая анализ общих принципов статики и динамики. Лагранж определяет статику как науку о равновесии сил и дает определение силы как «любой причины», «которая сообщает или стремится сообщить движение телам». Лагранж указывает, что статика основана на трех принципах; принципе рычага, принципе сложения сил и принципе виртуальных скоростей Затем он переходит к изложению истории развития этих принципов. Охарактеризовав принцип рычага Архимеда, он кратко показывает его развитие Стевином, Галилеем и Гюйгенсом. Лагранж считает доказательство Гюйгенса остроумным, но недостаточным и дает свое доказательство. Равновесие рычага сводится к принципу моментов, причем под моментом «понимают произведение силы на плечо, на которое она действует».
В кратком историческом обзоре Лагранж показывает, как развивается и уточняется научная идея. Его собственные доказательства появляются как итог этого исторического развития. Таково его знаменитое доказательство принципа виртуальных скоростей, т. е. принципа возможных перемещений, история которого значительно короче, чем история принципа рычага.
Исторический подход Лагранжа к механике очень интересен и ценен. Лагранж не только разработал аналитические методы классической механики, но и явился первым историком механики. Следует отметить, что в XVIII и первой половине XIX в. исторический подход к научным проблемам был весьма распространен; история помогала глубже осознавать рождающиеся идеи, уточнять и совершенствовать их. Так было в механике, так было в электричестве и оптике.
В главе «О различных принципах динамики» Лагранж определяет динамику как науку «об ускоряющих и замедляющих силах и о переменных движениях, которые они должны вызвать».
В основу динамики Лагранж кладет принцип наименьшего действия, который формулирует следующим образом: «При движении любой системы тел, находящихся под действием взаимных сил притяжения, или сил, направленных к неподвижным центрам и пропорциональных каким-либо функциям расстояний, кривые, описываемые различными телами, а равно их скорости необходимо таковы, что сумма произведений отдельных масс на интеграл скорости, умноженный на элемент кривой, является максимумом или минимумом— при условии, что первые и последние точки каждой кривой рассматриваются как заданные, так что вариации координат, соответствующих этим точкам, равны нулю».
Используя принцип наименьшего действия, Лагранж получает для описания движения любой системы материальных точек общую формулу:

где S - знак суммы; m - масса каждого из тел (точек) системы; х, у, z - координаты тела (точки); Р, Q, R, ...— заданные ускоряющие силы, действующие на единицу массы по направлению соответствующих центров; р, q, r,... — расстояния тел (точек) от этих центров; δр, δq, δr, ... — вариации этих расстояний.
Из этой общей формулы Лагранж выводит законы и уравнения движения системы. Закон движения центра тяжести он формулирует так: «Движение центра тяжести системы свободных тел, расположенных одно по отношению к другому совершенно произвольным образом, всегда таково, как если бы все тела были сосредоточены в одной точке и если бы в то же время каждое из них находилось под действием тех же ускоряющих сил, под влиянием которых оно находится в своем действительном состоянии». Аналитически эта теорема записывается Лагранжем в следующем виде:

где x', y', z' — координаты центра тяжести.
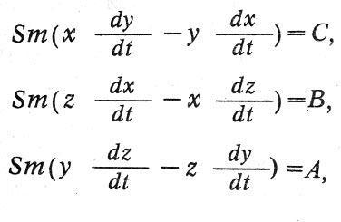
Теорему площадей для центральных сил Лагранж записывает в следующем виде:

где А, В, С — произвольные постоянные. Принцип сохранения живых сил Лагранж выражает в виде:

где H обозначает произвольную постоянную, равную значению левой части уравнения в заданное мгновение; П — функция, дифференциал которой равен:
dП = Pdp + Qdq + Rdr+...,
т. е., по современным представлениям, равен элементарной работе движущих сил; однако Лагранж термина «работа» не знал, равно как и термина «энергия ». Написанную выше формулу, выражающую закон сохранения энергии для консервативных сил, Лагранж называет принципом сохранения живых сил.
Далее Лагранж выводит дифференциальные уравнения движения системы. Мы их выпишем в более привычной форме. Если уравнения связей системы: φ 1 = О, φ 2 = О, ...φк = 0, то уравнения Лагранжа первого рода имеют вид:

Лагранж делает следующий важный шаг: он вводит новые переменные, «пользование которыми может максимально облегчить интегрирование». Эти «обобщенные координаты» соответствуют числу «степеней свободы», т. е. числу тех независимых параметров, которые полностью характеризуют систему. Применяя метод наименьшего действия, Л агранж получает уравнения:


Рис. 23. Воздушный термометр Амонтона
Число уравнений «в точности равно числу переменных, Ф, ..., от которых зависит положение системы в каждое мгновение». Сейчас обобщенные координаты обозначают символом, потенциальную энергию — символом U, сохраняя для кинетической энергии обозначение Лагранжа Т. Тогда, введя функцию Т - U, которую в честь Лагранжа обозначают L, его уравнения записывают так:

В современной теоретической физике уравнения Лагранжа приобрели огромное значение, далеко выходящее за пределы механики. Они применяются в термодинамике, электродинамике, атомной физике. Таким образом, Лагранж создал мощный метод, позволяющий решать большой круг задач.
Ирландский математик, механик и астроном У.Р.Гамильтон, оценивая вклад, внесенный Лагранжем в развитие механики после Галилея и Ньютона, писал: «Из числа последователей этих блестящих ученых Лагранж, пожалуй, больше, чем какой-либо другой аналитик, сделал для того, чтобы расширить и придать стройность подобным дедуктивным исследованиям, доказав, что самые разнообразные следствия, относящиеся к движению системы тел, могут быть выведены из одной основной формулы. При этом красота метода настолько соответствует достоинству результата, что эта великая работа превращается в своего рода математическую поэму». Этой поэмой завершился плодотворный период разработки основ теоретической механики.