Курс истории физики - Страница 130
Однако получить прочное место в Петербурге Эренфесту не удалось. Как ни ценили его петербургские физики, как ни старались они помочь ему устроиться на кафедру какого-либо из петербургских институтов, министерство просвещения было непреклонно, и места в Петербурге Эренфесту получить не удалось. Начались поиски места в Вене, в Праге, во Львове. Поиски были безрезультатными. И здесь совершенно неожиданно судьба Эренфеста круто повернулась. В апреле 1912 г. Эренфест разослал оттиски статьи, напечатанной в Математической энциклопедии, различным ученым, в том числе и Лоренцу. 20 апреля 1912 г. Лоренц прислал Эренфесту письмо, в котором дал высокую оценку статье и задал Эренфесту вопрос о том, где он сейчас работает и как складывается его судьба.
Эренфеста несколько удивила озабоченность Лоренца его судьбой, но в следующем письме Лоренц разъяснил смысл своих вопросов. Он собирался оставить ординарную профессуру по кафедре теоретической физики Лейденского университета и подыскивал себе преемника. «Я подумал также и о Вас», —писал Лоренц. В результате Эренфест принял предложение Лоренца, и состоялось избрание Эренфеста профессором кафедры теоретической физики Лейденского университета. Профессором в Лейдене Эренфест пробыл двадцать один год, до трагической гибели 25 сентября 1933 г.
Эренфест был искренним другом Советского Союза. Он был другом многих советских физиков: А. ф. Иоффе, Д. С. Рождественского, Ю. А. Круткова и других, часто приезжал в Советский Союз. 6 декабря 1924 г. Эренфест по представлению А. ф. Иоффе и П. П. Лазарева был избран членом-корреспондентом Академии наук СССР вместе с Бором, Ланжевеном, Майкельсоном,
Милликеном, Лауэ, Дебаем, Борном. В представлении Лазарев и Иоффе, перечисляя заслуги Эренфеста, писали: «В частности, П. С. Эренфест сыграл весьма крупную роль и в России. Его следует считать основателем школы теоретической физики, к которой принадлежали Г. Г. Вейхардт, В. Р. Бурсиан, Ю. А. Крутков».
Атом Бора
Вернемся, однако, к работам Бора о строении атомов. Бор, как и Томсон до него, ищет такое расположение электронов в атоме, которое объяснило бы его физические и химические свойства. Бор уже знает о модели Резер-форда и берет ее за основу. Ему известно также, что заряд ядра и число электронов в нем, равное числу единиц заряда, определяется местом элемента в периодической системе элементов Менделеева. Таким образом, это важный шаг в понимании физико-химических свойств элемента. Но остаются непонятными две вещи: необычайная устойчивость атомов, несовместимая с представлением о движении электронов по замкнутым орбитам, и происхождение их спектров, состоящих из вполне определенных линий. Такая определенность спектра, его ярко выраженная химическая индивидуальность, очевидно, как-то связана со структурой атома. Все это очень трудно совместить с универсальностью электрона, заряд и масса которого не зависят от природы атома, в состав которого они входят. Устойчивость атома в целом противоречит законам электродинамики, согласно которым электроны, совершая периодические движения, должны непрерывно излучать энергию и, теряя ее, «падать» на ядро. К тому же и характер движения электрона, объясняемый законами электродинамики, не может приводить к таким характерным линейчатым спектрам, которые наблюдаются на самом деле. Линии спектра группируются в серии, они сгущаются в коротковолновом «хвосте» серии, частоты линий соответствующих серий подчинены странным арифметическим законам.
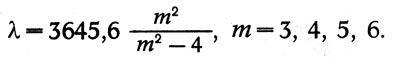
Так, Иоганн Бальмер (1825-1898) в 1885 г. нашел, что четыре линии водорода На, Нр, Н7, Н5 имеют длины волн, которые могут быть выведены из одной формулы:

Позже было найдено еще два десятка линий в ультрафиолетовой части, и их длины волн также укладывались в формулу Бальмера.

Иоганн Ридберг (1854-1919) в 1889-1900 гг. нашел, что и линии спектров щелочных металлов могут быть распределены по сериям. Частоты линий каждой серии могут быть представлены в виде разности двух членов — термов. Так, для главной серии

где R — некоторое постоянное число, получившее название постоянной Ридберга, s и р — дробные поправки, меняющиеся от серии к серии.
«Основным результатом тщательного анализа видимой серии линейчатых спектров и их взаимоотношений, — писал Бор, — было установление того факта, что частота v каждой линии спектра данного элемента может быть представлена с необыкновенной точностью формулой ν = Т — Т", где Т и Т" — какие-то два члена из множества спектральных термов Г, характеризующих элемент».
Бору удалось найти объяснение этого основного закона спектроскопии и вычислить постоянную Ридберга из таких фундаментальных величин, как заряд и масса электрона, скорость света и постоянная Планка. Но для этого ему пришлось ввести в физику атома представления, чуждые классической физике.
Это прежде всего представления о стационарных состояниях атомов, находясь в которых электрон не излучает, хотя и совершает периодическое движение по круговой орбите.
Для таких состояний момент импульса равен кратному от h/2n. При переходе с одной орбиты на другую электрон излучает и поглощает энергию, равную кванту. В заключительных замечаниях к трем своим статьям «О строении атомов и молекул» Бор формулирует свои основные гипотезы следующим образом:

«1. Испускание (или поглощение) энергии происходит не непрерывно, как это принимается в обычной электродинамике, а только при переходе системы из одного «стационарного» состояния в другое.
2. Динамическое равновесие системы в стационарных состояниях определяется обычными законами механики, тогда как для перехода системы между различными стационарными состояниями эти законы не действительны.
3. Испускаемое при переходе системы из одного стационарного состояния в другое излучение монохроматично, и соотношение между его частотой v и общим количеством излученной энергии Е дается равенством E = hv, где h — постоянная Планка.
4. Различные стационарные состояния простой системы, состоящей из вращающегося вокруг положительного ядра электрона, определяются из условия, что отношение между общей энергией, испущенной при образовании данной конфигурации, и числом оборотов электрона является целым кратным А/2 я . Предположение о том, что орбита электрона круговая, равнозначно требованию, что момент импульса вращающегося вокруг ядра электрона был бы целым кратным h /2л.
5. «Основное» состояние любой атомной системы, т. е. состояние, при котором излученная энергия максимальна, определяется из условия, чтобы момент импульса каждого электрона относительно центра его орбиты равнялся h/2n ».
Далее Бор пишет: «Было показано, что при этих предположениях с помощью модели атома Резерфорда можно объяснить законы Бальмера и Ридберга, связывающие частоты различных линий в линейчатом спектре».
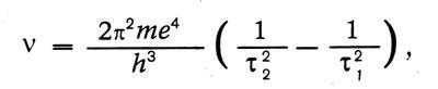
Именно Бор получил для спектра водорода формулу:

«Мы видим, — пишет Бор, — что это соотношение объясняет закономерность, связывающую линии спектра водорода. Если взять т2 — 2 и варьировать т1 получим обычную серию Бальмера.
Если взять τ 2 = 3, получим в инфракрасной области серию, которую наблюдал Пашен и еще ранее предсказал Ритц. При τ 2 = 1 и τ 2 — 4, 5,... получим в крайней ультрафиолетовой и соответственной крайней инфракрасной областях серии, которые еще не наблюдались, но существование которых можно предположить ».
Действительно, серия в ультрафиолетовой области, соответствующая τ 2= 1, была найдена Лайманом (1874— 1954) в 1916 г., серия в инфракрасной области, соответствующая τ 2 = 4, была найдена Брэкетом в 1922 г., и серия τ 2 — 5 была найдена Пфундом в 1924 г.