Курс истории физики - Страница 107
Пропаганда Хевисайда в пользу рациональной системы встретила сильных противников, как показала дискуссия, о которой Хевисайд пишет во втором томе. Тем не менее Хевисайд считает, что то, что сделано, «представит вопрос рационализации в ином свете для некоторых народов». Голландец в лице Лоренца поддержал идею рационализации единиц, и Лоренц во всех своих трудах пользовался единицами Хевисайда. В принятой сегодня системе единиц СИ рациональная система соединена с практической.
Возвратимся к Лоренцу и его «Опыту». Лоренц рассматривает уравнения электромагнитного поля в движущихся телах, переходя от неподвижных координат к подвижным. При этом Лоренц наряду с обычным временем t рассматривает чисто формальное «местное время»

Уравнения поля при таком преобразовании оказываются, если пренебречь членами второго порядка относительно v/c, такими же, как и в неподвижной системе. Лоренц формулирует свой вывод следующим образом: «Пусть для покоящейся системы тел известно состояние движения, для которого Dx, Dy, Dz, Ех, Еу, Ez, Hx, Hy, Hz суть данные функции х, у, г, и t, тогда в той же системе, если она движется со скоростью р, существует состояние движения, в котором Dx', Dy', Dz', Ех, Еу, Ег, Hx', Ну', Нz' точно такие же функции х, у, z и t

Применяя этот вывод к оптическим явлениям на движущейся Земле, Лоренц формулирует положение, которое позже стали называть принципом относительности первого порядка. «По нашей теории движение Земли не оказывает никакого влияния первого порядка на опыты с земными источниками света».
Теория Лоренца объясняет кажущееся увлечение эфира движущейся жидкостью в опыте физо. Что же касается опыта Майкельсона, которому Лоренц посвящает три параграфа своей книги, то он находит свое объяснение в гипотезе Лоренца — фицдже-ральда о сокращении размеров в направлении движения в отношении
Параграфы книги Лоренца (91 и 92), посвященные гипотезе, целиком приводит Лармор в своей книге «Эфир и материя»
Джозеф Лармор, воспитанник Кембриджа, известен открытием так называемой «прецессии Лармора». Электрон, вращающийся по орбите, совершает в магнитном поле дополнительное, прецессиальное вращение вокруг силовых линий магнитного поля с угловой скоростью
ω = (e/2m) H, где заряд е и напряженность магнитного поля H измерены в абсолютных электромагнитных единицах. С помощью этой прецессии Лармор объяснил нормальный эффект Зеемана.
В вышедшей в 1900 г. книге «Эфир и материя» Лармор, так же как и Лоренц, рассматривает взаимоотношение материи и эфира. Так же как и у Лоренца, частицы материи у него «электрифицированы» и связь материальных частиц через эфир осуществляется электромагнитными силами. Но Лармор считает частицы материи особенностями в эфире, имеющими специфическую структуру. Ядро этого особого образования может двигаться в эфире, оставляя самый эфир неподвижным. Вместе с этим ядром движется и создаваемое им напряжение, характеризуемое вектором с компонентами f, g, h. Этот вектор не что иное, как вектор напряженности электрического поля. Другая особенность в эфире имеет вращательный характер и порождает вихревое поле, характеризуемое вектором с компонентами а, Ъ, с, который представляет собой не что иное, как вектор магнитной индукции. Связь между обоими полями выражается уравнениями Максвелла. Лармор показывает, что форма этих уравнений остается неизменной и для движущейся системы, если связь между координатами движущейся и неподвижной систем определяется уравнениями:

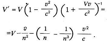
Так в истории физики появляются преобразования, названные преобразованиями Лоренца. Лоренц их написал в 1904 г. и притом еще не совсем правильно. Лармор написал их именно в том виде, в котором они сегодня употребляются в специальной теории относительности. Более того, Лармор показывает, что скорость распространения световой волны в движущейся среде выражается не формулой V°~-^-, где п — показатель преломления, а более сложной, в которую входит скорость движения среды:

Если скорость сложить со скоростью потока, то абсолютная скорость световой волны будет:

Это релятивистская формула сложения скоростей. Как видим, она содержалась в книге Лармора более чем за пять лет до теории относительности Эйнштейна. Лармор, опираясь на свою формулу, дал истолкование опыту физо и коэффициенту увлечения Френеля. По формуле Лармора можно записать:

Первые два члена дают для скорости света в движущейся среде величину:

что объясняет опыт физо и дает коэффициент увлечения Френеля. «Оставшийся член, — пишет Лармор,— дает поправку второго порядка согласно нашей гипотезе, которая включает отрицательный результат опыта Майкельсона».
Таким образом, Лармор полностью решил проблему электродинамики движущихся сред и объяснил все оптические эффекты: аберрацию, опыт физо, опыт Майкельсона. Он, так же как и Лоренц, приходит к выводу, что движение материальной системы через эфир изменяет незначительно ее размеры. Здесь он солидарен с фицджеральдом и Лоренцем.
Лоренц стал развивать идеи, изложенные им в «Опыте теории электрических и оптических явлений в движущихся телах», совершенствуя и углубляя свою теорию. В 1899 г. он выступил со статьей «Упрощенная теория электрических и оптических явлений в движущихся телах», в которой упростил теорию, данную им в «Опыте», введя следующие преобразования:

Эти результаты его не удовлетворили, и в 1904 г. он выступил с основополагающей статьей «Электромагнитные явления в системе, движущейся со скоростью, меньшей скорости света». Здесь Лоренц выписывает уравнения электронной теории в той современной форме, которая была дана им в 1903 г. в статье в «Математической энциклопедии» и которой еще не было в его работах 1895, 1899 гг. Он взял и новые преобразования координат и времени, записав их в виде:

с - w
Эти преобразования Лоренца значительно хуже преобразований Лармора( Почему-то Лоренц ни в преобразованиях 1899 г., ни в статье 1904 г. не вводит в формулу для x` время! ), и полной инвариантности уравнений электронной теории Лоренцу достигнуть не удалось, уравнение div d = p переходило в уравнение

Лоренц в 1912 г., переиздавая эту работу, в примечаниях признал, что ему не удалось полностью совместить свою теорию с принципом относительности. «С этим обстоятельством,— писал Лоренц, — связана беспомощность некоторых дальнейших рассуждений в этой работе».
В своей работе Лоренц делает ряд допущений. Важнейшими из них, кроме гипотезы неподвижного эфира, являются следующие: гипотеза об уравнениях преобразования координат и времени, гипотеза о деформации электрона. Лоренц считал, что неподвижный электрон имеет форму равномерно заряженной сферы, при движении же электрона «размеры в направлении движения уменьшаются в kl раз, а размеры в перпендикулярном движению направлении — в I раз». Далее Лоренц считает, что силы, действующие между независимыми частицами, «подвергаются изменению точно таким же образом, как электрические силы электростатической системы». Отсюда получается сокращение Лоренца— Фицджеральда и объяснение опыта Майкельсона.
Движущийся электрон будет обладать инерцией. «В процессах, при которых возникает ускорение в направлении движения, электрон ведет себя так, как будто он имеет массу m1,2 а при ускорении в направлении, перпендикулярном к движению, так, как будто он обладает массой т2. Величинам m1, и m2 поэтому удобно дать название «продольной» и «поперечной» электромагнитной масс. Я полагаю, что, кроме этой, нет никакой «действительной» или «материальной» массы».