Круг Ландау - Страница 44
Правая система координат X, Y, Z — это такая система, которая вращается как правый винт: если координатную ось X поворачивать по кратчайшему углу к оси Y против часовой стрелки, то винт, расположенный вдоль оси Z, пойдет вперед, т. е. будет ввинчиваться в пространство; если же оси X, Y поменять местами (как и оси в любой другой паре), то правая система превращается в левую систему координат. Кратчайший поворот от оси X к оси Y приведет к «вывинчиванию» оси Z. Левая система координат является зеркальным отражением правой системы. Операцию отражения называют инверсией пространства. Его легко наблюдать, например, рассматривая отражение в зеркале.
В 1956 г. американской китаянкой By экспериментально было открыто нарушение равноправия левой и правой систем координат в одной из реакций слабого взаимодействия, происходящего с испусканием нейтрино. Ландау «спас» пространственную симметрию, предложив одновременно с зеркальным отражением процесса распада частиц заменять их на античастицы. На встрече со студентами МГУ Ландау примерно так пояснил открытый им принцип: «Вы состоите из частиц. Посмотритесь в зеркало — там вы будете из античастиц». «Но ведь слияние частицы со своей античастицей, как электрона с позитроном, приводит к аннигиляции с выделением фотонов», — сказал один из студентов. «Да, — ответил Ландау, — если бы вы могли слиться со своим отражением, то произошел бы взрыв колоссальной силы. Только это, к счастью, невозможно». В ответе была, конечно, доля шутки, так как отражение человека в зеркале не является материальной заменой его тела на антитело. Но наглядность объяснения была полной.
О человеческих коллизиях в истории открытия несохранения четности см. далее рассказы И.С. Шапиро и Б.Л. Иоффе.
Научный гений Ландау не исчерпывается перечисленными 10-ю его достижениями. Поэтому продолжим их список.
11. В 1933 г. Ландау ввел понятие полярона. Это электрон в твердом теле, который, перемещаясь в зоне проводимости, теряет энергию, опускается ко дну зоны и там автолокализуется. Эта локализация происходит в потенциальной яме кристаллической решетки, возникшей вследствие локальной ее поляризации и деформации, вызванной самим электроном. Хотя поляроны как таковые пока не обнаружены экспериментально, но идея автолокализации элементарного носителя заряда в кристалле оказалась чрезвычайно плодотворной. Физики обнаружили явление автолокализации в твердом теле «антиэлектронов», называемых дырками. Дырка это — точечный дефект кристаллической решетки с положительным зарядом. Он возникает вследствие отсутствия в данной точке электрона, который в идеальной решетке там должен быть (отсюда название дырка). Автолокализованные дырки играют решающую роль в таких процессах, как электронный и дырочный типы проводимости, люминесценция, туннельные эффекты, запоминание информации в кристалле.
12. В 1950 г. была опубликована полуфеноменологическая теория сверхпроводимости Гинзбурга-Ландау, квинт-эссенция которой сосредоточена в одноименном уравнении. Интересно было бы обсудить, в какой мере эту теорию и уравнение можно причислить к главным достижениям Ландау. Вопрос немаловажный, так как, во-первых, наконец-то в 2003 г. В.Л. Гинзбург за это был удостоен Нобелевской премии и, во-вторых, на основе данной теории развивались все последующие теоретические работы по сверхпроводимости, в том числе работы авторов, также отмеченных Нобелевскими премиями. Если заносить это достижение на Скрижаль, то, наверное, можно было бы выгравировать на ней основной член уравнения:

— где A = rot Н есть векторный потенциал магнитного поля. Этот член напоминает по форме соответствующий член в знаменитом уравнении Шредингера для электрона. Но у Гинзбурга-Ландау он играет совершенно самостоятельную роль. У них квантово-механическое уравнение применяется не к микрочастице, а к конденсированным системам и объясняет их сверхпроводящее состояние.
Изначально это, конечно, работа В.Л. Гинзбурга. Естественно предположить, что именно поэтому И.К. Кикоин не включил упоминание о данной работе в Скрижали. Но обсуждение деталей и судьбы этой выдающейся работы в контексте ландауской историографии весьма поучительно для истории новейшей физики.
В статье памяти Ландау [Воспоминания…, 1988] Е.М. Лифшиц поясняет причины фундаментальной «полуошибки», допущенной Гинзбургом и Ландау в указанном члене уравнения. В нем звездочка обозначает величину некоторого элементарного эффективного заряда в сверхпроводнике, распределенного согласно введенной Гинзбургом ψ-функции, е* и m введены В.Л. Гинзбургом в уравнение сверхпроводимости по аналогии с записью волнового уравнения Шредингера, в котором указанные величины есть просто заряд и масса электрона. Однако волновая функция в уравнении сверхпроводимости заведомо не является волновой функцией электрона, и потому m может быть выбрано как произвольный коэффициент. При этом заряд е* не обязан быть априорно зарядом электрона. В.Л. Гинзбург полагал, что заряд е* «нужно <…> оставить в качестве свободного параметра» [Гинзбург, 1995. С. 340; 2003, С. 292]. Однако Ландау отверг идею о том, что в универсальное уравнение может входить некий эфемерный эффективный заряд. Тогда последний должен был бы каждый раз вычисляться заново в соответствии с множеством конкретных параметров сверхпроводника — его основным составом, неоднородностями, вариациями термодинамических и геометрических величин — и теория утрачивала бы свою универсальность. Следовательно, заряд е* должен был представлять собой некоторую универсальную величину чего-то естественного.
И вот Ландау предположил, что «нет оснований считать е* отличным от заряда электрона». Компромисс двух авторов свелся к тому, что вопрос о равенстве е = е* был оставлен открытым до экспериментальной проверки. Лишь в 1956 г. американцы выяснили, что на самом деле е*= 2е — это заряд так называемой куперовской пары электронов. Спаривание возникает при низких температурах у двух электронов с противоположными импульсами и спинами, кулоновское же отталкивание в паре преодолевается за счет обмена виртуальными фононами через кристаллическую решетку (микроскопическая теория сверхпроводимости БК1П, названная так по именам трех физиков — Бардина, Купера и Шрифера, которые получили за нее Нобелевскую премию). Здесь удивительно правильное качественное предсказание Ландау, указавшего на естественность вхождения целого элементарного заряда электрона в уравнение и ошибившегося ровно в два раза. Универсальность основной структуры уравнения Гинзбурга-Ландау обеспечивает возможность его применения во все расширяющемся фронте исследований сверхпроводимости, в частности, в теории сверхпроводящих сплавов (сверхпроводников II рода).
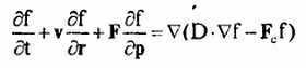
13. Интеграл столкновений в кинетическом уравнении плазмы и затухание Ландау.
Следующее уравнение, которое было выведено Ландау в 1937 г., также можно было бы выгравировать на Скрижали:

— Здесь f — функция распределения, это вероятность нахождения в плазме электрона с импульсом р = mv в точке r в момент времени t; v — скорость электрона;
F = eE0+ (e/c)v x B0
— сила, действующая на электрон со стороны внешних электрического Е0 и магнитного В0 полей;
Правую часть в данном уравнении часто записывают в виде так называемого интеграла столкновений, который первым ввел Ландау. Так он учел эффект от столкновений частиц при больших пролетах, применяя модель диффузии в пространстве скоростей (импульсов).