Краткий курс по статистике - Страница 7
где xi – величины совокупности;
n – частота (повторяемость индивидуальных значений признака).
Среднее линейное отклонение взвешенное:

Недостаток среднего линейного отклонения заключается в том, что приходится иметь дело не только с положительными, но и с отрицательными величинами.
Также выделяют дисперсии (групповые, межгрупповые, общие) и среднее квадратическое отклонение.
4. Информативность показателей вариации повышается, если они рассчитываются для целей сравнительного анализа. Показатели, рассчитанные по одной совокупности, сопоставляются с показателями, рассчитанными по другой аналогичной совокупности или по той же самой, но относящейся к другому периоду времени. Например, исследуется динамика вариации курса доллара по недельным или месячным данным.
Показатели вариации можно использовать не только в анализе колеблемости или изменчивости изучаемого признака, но и для оценки степени воздействия одного признака на вариацию другого признака, т. е. в анализе взаимосвязей между показателями.
Для измерения вариации признака используют абсолютные и относительные показатели.
Абсолютные показатели вариации – размах вариации, среднее линейное отклонение, среднее квадратическое отклонение, дисперсия.
Относительные показатели вариации (коэффициент осцилляции, линейный коэффициент вариации, относительное линейное отклонение и др.) – результат сопоставления абсолютных показателей. Их суть состоит в соотнесении абсолютных показателей вариации со значением средней величины как характеристики центра распределения.
5. Различают следующие относительные показатели вариации: коэффициент осцилляции, коэффициенты вариации.
Коэффициент осцилляции (VR):
где R – размах вариации;
Линейный коэффициент вариации (
или
где
Ме – медиана.
Коэффициент вариации (Vσ) определяет удельный вес среднего квадратического отклонения в размере средней величины и служит мерой однородности совокупности:
где σ – среднее квадратическое отклонение. Совокупность считается однородной, если значение данного показателя не превышает 33 %.
Эмпирический коэффициент детерминации (η2) отражает определенную изменением признака-фактора долю вариации результативного признака:
η2 = δ2: δ2общ,
где δ2 – межгрупповая дисперсия;
δ2общ – общая дисперсия.
Эмпирическое корреляционное отношение (η) определяет тесноту связи между изменением признака-фактора и последующим изменением признака-результата – корень из коэффициента детерминации:

Чем ближе к единице значение эмпирического корреляционного отношения, тем теснее связь между изменением признака-фактора и признака-результата.
10. Дисперсия
1. Различают невзвешенную и взвешенную дисперсии.
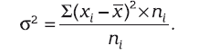
Дисперсия (σ2) – сумма квадратов отклонений значений показателя от средней.
Дисперсия невзвешенная
Дисперсия взвешенная

Если необходимо не только изучить вариации признака совокупности, но и исследовать количественные изменения признака по однородным группам совокупности, то помимо общей средней для всей совокупности необходимо просчитывать и частные средние величины по отдельным группам.
Выделяют общую и среднюю виды дисперсий.
Общая дисперсия характеризует изменчивость признака всей совокупности под влиянием всех определивших данную вариацию факторов:

где
Средняя внутригрупповая дисперсия
2. Разработаны следующие основные этапы расчета дисперсии:
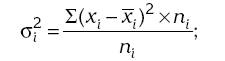
✓ рассчитывается дисперсия (σi 2) по отдельным группам:

✓ рассчитывается средняя внутригрупповая дисперсия:

где Ni – число единиц в группе.
Межгрупповая дисперсия (S2) определяет возникающие под влиянием признака-фактора различия в величине исследуемого признака (системную вариацию):

где
Правило (закон) сложения дисперсий: сумма средней внутригрупповой дисперсии и межгрупповой дисперсии равна общей дисперсии:

Общая дисперсия, возникающая под влиянием всех факторов, равна сумме дисперсий, появляющихся под влиянием положенного в основу группировки признака-фактора и других факторов.
3. Как следствие правила сложения дисперсий появляется возможность определить часть общей дисперсии, находящейся под влиянием положенного в основу группировки признака-фактора.