Краткий курс по статистике - Страница 6
Средняя геометрическая невзвешенная величина характеризует средний коэффициент роста.
Средняя геометрическая взвешенная применяется в случае, если темпы роста остаются неизменными в течение нескольких периодов:

где
х – количество периодов, при которых темпы роста оставались неизменными.
6. Средняя квадратическая – средняя степенная при показателе степени k = 2.
Различают следующие основные виды средних квадратических величин: средняя квадратическая невзвешенная, средняя квадратическая взвешенная.
Средняя квадратическая невзвешенная

используется при расчете степени колеблемости индивидуальных значений признака вокруг средней арифметической. Средняя квадратическая взвешенная:

Все формы средней (средняя арифметическая, средняя гармоническая, средняя геометрическая, средняя квадратическая и т. д.) образованы от единой степенной средней и отличаются друг от друга показателями степени k.
Правильность расчета средней величины можно проверить с помощью правила мажорантности: чем выше степень рассчитываемой формы средней величины, тем больше значение средней:

9. Медиана и мода. Абсолютные и относительные показатели вариации
1. Второй большой класс средних величин – структурные средние, используемые для определения структуры совокупности. К ним относятся мода и медиана. В отличие от степенных средних, рассчитывающихся на основе использования всех вариантов значений признака, медиана и мода характеризуют величину варианта, занимающего определенное среднее положение.
Для определения понятий моды и медианы требуется определение вариационного ряда. Построение ряда – процесс упорядочения количественного распределения элементов совокупности по значениям признака с последующим подсчетом числа элементов совокупности с этими значениями.
Выделяют следующие основные виды вариационного ряда по количественному признаку:
☞ ранжированный;
☞ дискретный;
☞ интервальный вариационный.
Ранжированный ряд – распределение отдельных элементов совокупности в порядке возрастания или убывания исследуемого признака. Дискретный ряд – распределение, основу которого составляют признаки с прерывным изменением, так называемые дискретные признаки – признаки, принимающие только конечное число определенных значений. Интервальный вариационный ряд – распределение признаков, имеющих непрерывное изменение, которые в определенных границах могут принимать любые значения.
Для нахождения медианы необходимо определить ее положение в ранжированном ряду.
Положение медианы (NМе) в ранжированном ряду определяется:

где n – число единиц в совокупности.
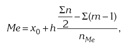
В медианном интервале сумма накопленных частот превышает половину наблюдений от общего числа всех наблюдений. Численное значение медианы:

где х0 – нижняя граница интервала;
h – величина интервала;
n – число членов ряда;
Σ(m – 1) – сумма накопленных членов ряда, предшествующих медианному;
nМе – частота медианного интервала.
В дискретном ряду модой будет вариант с наибольшей частотой. Для определения моды сначала определяют модальный интервал, т. е. интервал, имеющий наибольшую частоту.
Значение моды определяется по формуле:

где x0 – нижняя граница модального интервала;
h – величина модального интервала;
nm – частота модального интервала;
nm—1 – частота интервала, предшествующего модальному;
nm+1 – частота интервала, следующего за модальным.
2. Вариация – одна из важнейших категорий, применяемых в статистической науке, поскольку явления неизменные в статистике не рассматриваются. Также под вариацией понимают изменчивость только явлений, на которые оказывают влияние внешние факторы.
Исследование вариации позволяет определить уровень зависимости изучаемого явления от прочих факторов (оценить степень устойчивости явления к внешним воздействиям); определить уровень однородности изучаемого явления; изучить явления, протекающие в обществе, характерные высоким уровнем их изменчивости.
3. В статистике принято различать следующие основные виды вариации:
☞ альтернативная – признак может принять только одно из двух, противоположных по своей сути, значений;
☞ систематическая – изменение признака в определенном направлении, не обусловленное внутренними законами развития исследуемого явления;
☞ случайная – изменчивость признака непредсказуема.
Показатели вариации бывают относительными и абсолютными (непосредственно характеризующими изменчивость исследуемой совокупности).
Выделяют несколько основных групп абсолютных показателей вариации.
Размах вариации (R), или амплитуда вариации, показывает пределы изменчивости признака; это разность между максимальной величиной признака (xmax) и минимальной величиной признака (xmin):
R = xmax – xmin.
К группе средних величин (групповых и общих) относятся: степенные средние величины (средняя арифметическая, средняя гармоническая, средняя геометрическая, средняя квадратическая и т. д.); структурные средние величины (мода и медиана).
Среднее линейное отклонение (
Среднее линейное отклонение невзвешенное: