Краткий курс по статистике - Страница 5

где х1 – отдельные варианты.
Если имеется n коэффициентов роста, то формула среднего коэффициента:

Средняя геометрическая равна корню степени n из произведения коэффициентов роста, характеризующих отношение величины каждого последующего периода к величине предыдущего. Средняя квадратическая простая определяется путем извлечения квадратного корня из частного от деления суммы квадратов отдельных значений признака на их число:

Средняя квадратическая взвешенная:

2. Выделяют следующие основные виды средних величин:
☞ по наличию признака-веса: невзвешенная и взвешенная;
☞ охвату совокупности: групповая, общая;
☞ форме расчета: средняя арифметическая, гармоническая, геометрическая, квадратическая, кубическая и т. д. величины.
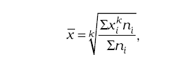
Данные средние выводятся из формулы степенной средней:

где xi – величины, для которых исчисляется средняя;
n – частота (повторяемость индивидуальных значений признака).
При при k = – средняя гармоническая; при k = 0 – средняя геометрическая; при k = 2 – средняя квадратическая.
При k = 1 формула расчета степенной средней превращается в формулу расчета средней арифметической:
3. Выделяют следующие основные виды средней арифметической величины: средняя арифметическая невзвешенная, средняя арифметическая взвешенная.
Средняя арифметическая невзвешенная величина наиболее распространена; рассчитывается путем деления значений признака каждого элемента совокупности на число элементов совокупности:
Средняя арифметическая взвешенная величина рассчитывается, если имеются сведения о количестве или доле единиц совокупности каждым значением осредняемого признака:

Выделяют следующие основные свойства средней арифметической величины:
☞ сумма всех отклонений каждого значения признака от среднего арифметического значения равна нулю:
Если отклонения каждого из вариантов от средней величины суммировать, то получится ноль, что свойственно арифметическим невзвешенным и взвешенным средним значениям;
☞ произведение каждого значения признака на соответствующую ему частоту равно произведению средней величины на сумму частот:
Средняя величина есть результат распределения объема совокупности поровну между всеми ее элементами;
☞ сумма квадратов отклонения индивидуальных значений признака от средней арифметической меньше суммы квадратов отклонения от любой другой величины:
если увеличить или уменьшить все варианты осредняемого признака на какое-либо одно и то же число, то объем средней соответственно увеличится или уменьшится на это же число;
☞ если увеличить или уменьшить все варианты осредняемого признака в какое-либо число раз, то объем средней соответственно увеличится или уменьшится в это же количество раз;
☞ от увеличения или уменьшения веса каждого варианта признака в какое-либо число раз величина средней не изменится. Применение данного свойства удобно, если необходимо проанализировать совокупность со значительным количеством элементов, а частота элементов выражена многозначными числами. Если частоты элементов равны между собой, то среднюю можно рассчитать как невзвешенную;
☞ вследствие предыдущего свойства величина средней зависит не от абсолютных значений весов отдельных элементов, а от их доли в общей сумме весов, т. е. если не известны абсолютные выражения весов элементов, а известны пропорции между ними, то они могут использоваться для расчета средней;
☞ средняя арифметическая совокупности, состоящей из постоянных величин, равна этой постоянной:
4. Приведем также формулы расчета средней гармонической, средней геометрической, средней квадратической и средней степенной величин.
Формула расчета степенной средней:

где xi – величины, для которых исчисляется средняя;
n – частота (повторяемость индивидуальных значений признака).
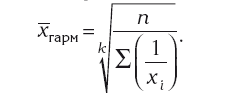
При к = формула превращается в формулу расчета средней гармонической.
Средняя гармоническая простая (невзвешенная) величина взаимосвязана со средней арифметической невзвешенной как величина, обратная средней арифметической, рассчитанная из обратных значений признака:

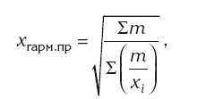
Средняя гармоническая взвешенная величина:

где ω – значения сводного, объемного, выступающего как признак-вес показателя.
Рассчитывается, когда имеются данные об объеме определяющего показателя, т. е. произведения осредняемого признака и признака-веса.
Также рассчитывается при наличии сведений об индивидуальных значениях осредняемого признака при отсутствии отдельных значений признака-веса.
Средняя степенная при показателе степени к = 0 становится средней геометрической величиной.
5. К основным видам средних геометрических величин относятся средняя геометрическая невзвешенная и средняя геометрическая взвешенная величины. Расчет средней геометрической невзвешенной величины: если показатель степени k = 0, то формула средней степенной

где П(хi) – произведение индивидуальных значений осредняемого признака.
Применяется при наличии n коэффициентов роста. Индивидуальные значения признаков при этом становятся относительными величинами динамики (построены в виде цепных величин как отношение к предыдущему уровню каждого уровня в ряду динамики).