Краткий курс... - Страница 56
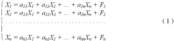
В соответствии со сказанным в хронологической преемственности производственных циклов в их последовательности, ориентированной на исчерпание дефицита по демографически обусловленному спектру, последовательность действий в процессе управления макроэкономикой на каждом из циклов включает в себя три блока действий:
· Планирование.
· Контроль течения процесса.
· Коррекция межотраслевого финансового баланса; после чего переход к следующему циклу.
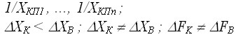
На стадии планирования объективной данностью являются прейскурант P, принимаемый в качестве базового прейскуранта PБ ; спектры производства XК и FК ; ожидаемый на планируемом цикле прирост спектра ΔXВ := ΔXК = С -1FКИ (здесь знак « := » — алгоритмический знак, имеющий смысл идентификатору слева присвоить значение того, что стоит справа от знака « := » ; С -1 — в данном случае обратная матрица, т.е. такая матрица, что выполняется равенство: СС -1= Е , где Е — единичная диагональная матрица), как следствие обмена отраслей инвестиционными продуктами на предшествующем планируемому цикле; также известен реально сложившийся на нём вектор
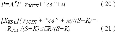
rЗСТ = rЗСТП + “св” + м.
Воздействием на составляющие rЗСТП + “св” планируемого цикла можно вызвать желательные изменения ΔXК = С -1FКИ на нём, предсказуемые в статистическом смысле на основе уравнений (4 — 19), (22) и статистики функционально обусловленных расходов.
На стадии выполнения производственной программы народного хозяйства необходим сбор информации, описывающей реальные балансы продуктообмена — уравнения (8) и (9) в системе описаний на основе теории подобия. Это должно делаться на основе Единой Государственной Стандартной Системы Алгоритмов сбора и обработки информации.
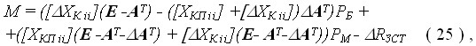
При этом в силу насыщения рынка и научно-технического прогресса, неравномерных на разных рынках и в отраслях, происходит изменение прейскуранта относительно базового расчётного прейскуранта РБ , вследствие чего к концу производственного цикла формируется вектор финансовых диспропорций относительно планового финансового баланса отраслей:

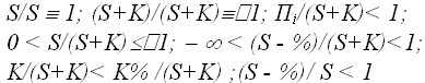
получаемый на основе(9) и (7). ΔRЗСТ — член, в котором собраны изменения статистики функционально обусловленных расходов. Вектор M — вектор-сальдо межотраслевого финансового обмена, определяемый (25), отнесенный к величине S+K, т.е. M/(S+K), является мерой переразпределения удельной платёжеспособности относительно планового номинального уровня, определяемого на основе соотношения:
RЗСТ =[ХКП ii]rЗСТП + “СВ”.
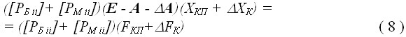
Некоторые отрасли могут потерять финансовую устойчивость по отношению к плановым спектрам госзаказа ХКП , FКП , и она должна быть восстановлена средствами налогово-дотационной политики до начала выполнения программы следующего производственного цикла. Для этого необходим анализ M/(S+K), прейскуранта P = РБ + РМ , сложившихся на текущем производственном цикле.
Но система управления рентабельностью может быть работоспособной только, если государство целенаправленно взращивает в новых поколениях дееспособную автократичную, по-русски — самовластную, биосферно-гармоничную нравственность и ориентирует производство на удовлетворение выявленного спектра демографически обусловленных потребностей, а не играет в бюджет типа «тришкина кафтана», и не ублажает “элитарно” паразитирующее меньшинство, просто бесящееся с жиру и прожигающее жизни окружающих и убивающее биосферу.
6.13. Теория подобия многоотраслевых макроэкономических систем в её математическом выражении
Описание межотраслевого баланса:

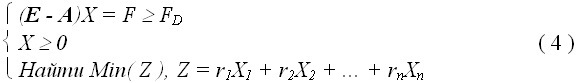
(E - A)X = F (2),
где:eij = 0 , кромеe11 = e22 = ... = enn = 1;
X = (Х1 , ... , Xn)T; F = (F1 , ... , Fn)T
(E -A T)P = rЗСТ (3), где:a12 T = a21


PБ(E -A)XКП =P Б FКП (6)
(E -A T)PБ = rЗСТП (7)



где: ХВ = ХКП + ΔХВ ; FВ = FКП + ΔFВ ; [Х КПii -1] — диагональная матрица, на главной диагонали которой стоят величины обратные компонентам вектора ХКП :

Обезразмеривание кредитно-финансовой системы:
ΣПi =(S+K) (11)
Основные соотношения:

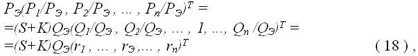
Р=(P1, P2 , ... ,Pn)T=(S+K)(Q1 , Q2 , ... , Qn)T (12)

Условие достаточности производства зерна и соотношение численности городского и сельского населения:
может быть преобразовано к виду:

где: η = (“Сб” - потери)/ “Сб” ; N = NС+NГ ; D — стандартдостаточности сбора зерна в расчёте на душу населения.
Биологические ограничения на темпы изменения численности сельского и городского населения:
где Δ{η“Сб”/NС} — изменение производительности по сбору зерна сельской инфраструктуры.
Энергетический стандарт обеспеченности средств платежа:

Энергетический инвариант прейскуранта:

где
Связь стоимостной и натуральной форм учёта продукции в уравнениях межотраслевого баланса:





Подводя итоги главе 6, можно утверждать: Госплан (Минэкономики); Госстандарт; Госкомстат; Минфин + Банковская и страховая системы; Патентная служба (Госкомизобретений и институты учёта прикладной информации типа ВИНИТИ и т.п.) — подсистемы одной и той же системы саморегуляции народного хозяйства.