Краткая история времени. От большого взрыва до черных дыр - Страница 7
Другое замечательное следствие из постулата относительности – революция в наших представлениях о пространстве и времени. По теории Ньютона, если световой импульс послан из одной точки в другую, то время его прохождения, измеренное разными наблюдателями, будет одинаковым (поскольку время абсолютно), но пройденный им путь может оказаться разным у разных наблюдателей (так как пространство не является абсолютным). И поскольку скорость света есть пройденное светом расстояние, деленное на время, разные наблюдатели будут получать разные скорости света. В теории относительности же все наблюдатели должны быть согласны в том, с какой скоростью распространяется свет. И коль скоро у них нет согласия в вопросе о расстоянии, пройденном светом, у них не должно быть согласия и в том, сколько времени шел свет. (Время прохождения – это пройденное светом расстояние, относительно которого нет согласия у наблюдателей, деленное на скорость света, относительно которой все согласны.) Иными словами, теория относительности покончила с понятием абсолютного времени! Оказалось, что у каждого наблюдателя должен быть свой масштаб времени, измеряемого с помощью имеющихся у него часов, и что показания одинаковых часов, находящихся у разных наблюдателей, не обязательно согласуются.

Рис. 2.1
Всякий наблюдатель может определить, где и когда произошло какое-нибудь событие, методом радиолокации, послав световой импульс или импульс радиоизлучения. Часть посланного сигнала в конце пути отразится назад, и наблюдатель измерит время возврата эхо-сигнала. Временем события будет середина интервала между посылкой сигнала и его возвращением: расстояние до события равно половине времени, затраченного на прохождение туда и обратно, умноженной на скорость света. (Под событием здесь понимается нечто, происходящее в определенной точке пространства в определенный момент времени.) Все сказанное поясняется пространственно-временной диаграммой, представленной на рис. 2.1. При изложенном методе наблюдатели, перемещающиеся относительно друг друга, припишут одному и тому же событию разное время и положение в пространстве. Ни одно из измерений, произведенных разными наблюдателями, не будет правильнее других, но все они будут связаны между собой. Каждый наблюдатель может точно вычислить, какое время и какое положение в пространстве припишет событию любой другой наблюдатель, если известна скорость второго наблюдателя относительно первого.
Для точного определения расстояний сейчас пользуются именно таким методом, потому что время мы умеем измерять точнее, чем длину. Даже метр определяется как расстояние, которое свет проходит за время 0,000000003335640952 секунды, измеренное при помощи цезиевых часов. (Само это число соответствует историческому определению метра как расстояния между двумя отметками на специальном платиновом стержне, хранящемся в Париже.) Мы можем пользоваться и более удобной новой единицей длины, которая называется световой секундой. Это просто расстояние, которое свет проходит за одну секунду. В теории относительности расстояние теперь определено через время и скорость света, откуда автоматически следует, что, измеряя скорость света, каждый наблюдатель получит один и тот же результат (по определению 1 метр за 0,000000003335640952 секунды.) Теперь не нужно вводить эфир, присутствие которого, кстати, как показал опыт Майкельсона – Морли, и невозможно обнаружить. Однако теория относительности вынуждает нас к фундаментальной смене представлений о пространстве и времени. Нам приходится принять, что время не отделено полностью от пространства и не независимо от него, но вместе с ним образует единый объект, который называется пространством-временем.
Из повседневного опыта мы знаем, что положение точки в пространстве можно задать тремя числами – ее координатами. Можно, например, сказать, что некая точка в комнате находится в двух метрах от одной стены, в метре – от другой и в полутора метрах от пола. А можно также задать ее положение, указав широту, долготу и высоту над уровнем моря. Вы можете пользоваться любыми тремя подходящими координатами, хотя они всегда имеют лишь ограниченную область применимости. Никто не станет, задавая положение Луны, указывать расстояние в километрах на север и на запад от площади Пикадилли и высоту над уровнем моря. Вместо этого можно указать расстояние до Солнца, расстояние до плоскости, в которой лежат орбиты планет, и угол между прямой, соединяющей Луну с Солнцем, и прямой, соединяющей Солнце с какой-нибудь близкой звездой, скажем, с альфой Центавра. Правда, и эти координаты вряд ли подходят для задания положения Солнца в нашей Галактике или положения нашей Галактики среди окружающих нас других галактик. Но можно всю Вселенную разбить на перекрывающиеся «куски» и для каждого «куска» ввести свою систему координат, чтобы задавать в нем положение точки.
Событие – это нечто, происходящее в определенной точке пространства и в определенный момент времени. Следовательно, событие можно характеризовать четырьмя числами, или координатами. Выбор координат будет опять произвольным: можно взять любые три четко определенные координаты и любую меру времени. В теории относительности нет реального различия между пространственными и временными координатами, как нет различия между двумя любыми пространственными координатами. Можно перейти к новой системе координат, в которой, скажем, первая пространственная координата будет комбинацией первой и второй старых пространственных координат. Например, вместо того чтобы задавать положение точки на поверхности Земли, измеряя в километрах расстояние до нее к северу и к западу от площади Пикадилли, можно было бы откладывать расстояние от той же площади Пикадилли, но к северо-востоку и к северо-западу. Аналогичным образом в теории относительности можно ввести новую временную координату, которая была бы равна сумме старого времени (измеренного в секундах) и расстояния (в световых секундах) к северу от Пикадилли.

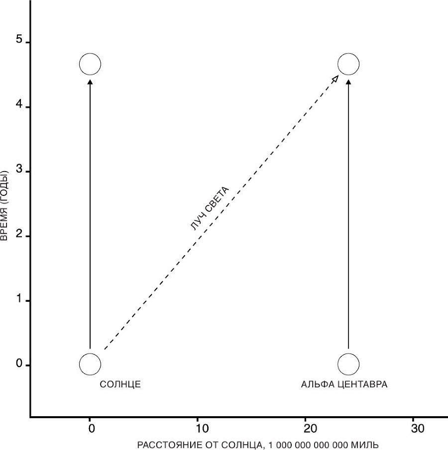
Рис. 2.2
Четыре координаты какого-либо события можно рассматривать как координаты, определяющие положение этого события в четырехмерном пространстве, которое называется пространством-временем. Четырехмерное пространство представить себе невозможно. Лично я с трудом представляю себе даже трехмерное пространство! Но нетрудно изображать графически двумерные пространства, например поверхность Земли. (Поверхность Земли двумерна, потому что положение любой точки можно задать двумя координатами – широтой и долготой.) На диаграммах, которыми я буду, как правило, пользоваться, ось времени направлена вверх, а одна из пространственных осей горизонтальна. Два других пространственных измерения либо будут отсутствовать, либо же одно из них я буду иногда изображать в перспективе. (Такие диаграммы, как диаграмма рис. 2.1, называются пространственно-временными.) Например, на рис. 2.2 ось времени направлена вверх и отсчет на ней ведется в годах, а расстояние от Солнца до звезды альфа Центавра отложено по горизонтальной оси и измеряется в милях. Траектории Солнца и альфы Центавра, возникающие при их перемещении в пространстве-времени, показаны на диаграмме вертикальными линиями: первая – слева, а вторая – справа. Луч света от Солнца распространяется по диагонали, и он доходит от Солнца до альфы Центавра за четыре года.
Мы видели, что уравнения Максвелла предсказывают постоянство скорости света независимо от скорости источника и эти предсказания подтверждаются точными измерениями. Отсюда следует, что световой импульс, испущенный в некоторый момент времени из некоторой точки пространства, с течением времени будет распространяться во все стороны, превращаясь в световую сферу, размеры и положение которой зависят от скорости источника. Через одну миллионную долю секунды свет образует сферу радиусом 300 метров; через две миллионные доли секунды радиус сферы увеличится до 600 метров и т. д. Картина будет напоминать волны на воде, расходящиеся по поверхности пруда от брошенного камня. Эти волны расходятся, как круг, расширяющийся со временем. Если представить себе трехмерную модель, два измерения которой на поверхности пруда, а одно – ось времени, то в такой модели расходящийся по воде круг будет «следом» конуса с вершиной, находившейся в момент падения камня в той точке на поверхности пруда, в которой камень коснулся воды (рис. 2.3). Точно так же свет, распространяясь из некоего события в четырехмерном пространстве-времени, образует в нем трехмерный конус. Этот конус называется световым конусом будущего для данного события. Можно нарисовать и другой конус, который называется световым конусом прошлого и представляет множество событий, из которых световой импульс может попасть в точку, соответствующую данному событию (рис. 2.4).