Концепции современного естествознания: Шпаргалка - Страница 3
Тогда относительно неподвижной системы отсчета стержень движется поступательно и все его точки имеют скорость v. Длиной движущегося стержня, по определению, называется расстояние между координатами его концов в некоторый момент времени. Таким образом, для измерения длины движущегося стержня необходимо одновременно, т. е. при одинаковых показаниях часов неподвижной системы отсчета, расположенных в соответствующих точках, отметить положение концов стержня. Пусть засечки положения концов движущегося стержня сделаны в неподвижной системе координат в момент времени t и характеризуются координатами (х1, у1, z1) и (х2, у2, z2). Тогда для длины стержня в неподвижной системе отсчета будем иметь

т. е. длина стержня в обеих системах координат одинакова. Это позволяет утверждать, что длина является инвариантом преобразований Галилея.
8. ПРЕОБРАЗОВАНИЯ ЛОРЕНЦА
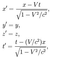
В 1904 году Лоренц предложил формулы для преобразования координат, которые обеспечивают инвариантность уравнений Максвелла при переходе от одной инерциальной системы отсчета к другой:

где с – скорость света в вакууме.
Формулы были названы Пуанкаре преобразованиями Лоренца.
Инвариантным относительно преобразований Лоренца является так называемый пространственно-временной интервал, или просто интервал. Пусть события произошли в точке х1, у1, z1 в момент времени t1 и в точке х2, у2, z2 в момент времени t2. Интервалом между событиями, или, как говорят, интервалом между точками х1, у1, z1, t1 и х2, у2, z2, t2, называется величина s, квадрат которой определяется формулой
S2 = С2 (t2 – t1)2 – (Х2 – Х1)2 – (У2 – У1)2 – (Z2 – Z1)2. (1)
В подвижной системе отсчета квадрат интервала S записывается в виде
Подставляя формулу (1) в (2), убедимся, что s2 = s'2 = inv. Впервые понятие интервала ввел Пуанкаре, и он же показал, что интервал является инвариантом при преобразованиях Лоренца.
Из преобразований Лоренца следует сокращение длины движущегося стержня, а именно
9. СПЕЦИАЛЬНАЯ ТЕОРИЯ ОТНОСИТЕЛЬНОСТИ
В основе специальной теории относительности, созданной Лоренцем, Пуанкаре и Эйнштейном и представляющей собой фактически физическую теорию пространства и времени, лежат два постулата: принцип относительности; принцип постоянства скорости света.
Принцип относительности утверждает, что все тождественные физические явления в любых инерциальных системах отсчета при одинаковых начальных и граничных условиях протекают одинаково. Другими словами, все законы природы инвариантны по отношению к переходу от одной инерциальной системы отсчета к другой, т. е. уравнения, выражающие законы природы, имеют одинаковый вид во всех инерциальных системах отсчета. Несмотря на то что приведенная формулировка принципа относительности отличается от той, что дал Пуанкаре, в физическом смысле обе формулировки тождественны. Этот постулат распространяет принцип относительности Галилея на все физические явления природы. Это означает, что все инерциальные системы отсчета равноправны и никакие опыты (механические, электромагнитные и т. п.), проведенные в данной инерциальной системе отсчета, не дают возможности обнаружить, покоится ли эта система или движется равномерно и прямолинейно.
Принцип постоянства скорости света гласит, что скорость света в вакууме одинакова во всех инерциальных системах отсчета и не зависит от движения источников и приемников света. Специальная теория относительности объединила пространство и время в единый континуум «пространство-время», (см. преобразования Лоренца) причем она, как и классическая ньютоновская механика, предполагает, что время однородно, а пространство однородно и изотропно.
10. ОБЩАЯ ТЕОРИЯ ОТНОСИТЕЛЬНОСТИ ЭЙНШТЕЙНА
Дальнейшее развитие представлений о пространстве и времени было сделано Эйнштейном в 1915 году в общей теории относительности, называемой иногда теорией тяготения. В ней Эйнштейн расширил принцип относительности, распространив его на неинерциальные системы отсчета, и использовал принцип эквивалентности инертной и гравитационной масс (отношение инертной массы к гравитационной одинаково для всех тел), который непосредственно следует из установленного еще Галилеем факта одинаковости ускорения различных тел при их свободном падении.
Используя законы классической механики, покажем, что отношение инертной mин и гравитационной mгр масс одинаково для всех тел. Предположим, что вниз одновременно начинают падать два разных тела. На каждое из тел действует сила тяжести. На первое тело действует сила тяжести, равная F1 = mгр1g, а на второе – F2 = mгр2g, где g – ускорение свободного падения. Согласно второму закону Ньютона, под действием этих сил тела будут двигаться с ускорениями соответственно a1 и a2, причем в качестве коэффициентов пропорциональностей между силами и ускорениями будут выступать их инертные массы mин1 и mин2: F1 = mин1a1 и F2 = mин2a2. Из этих рассуждений непосредственно следует, что mгр1g = mин1a1 и mгр2g = mин2a2. Галилей экспериментально показал, что все тела при отсутствии сопротивления падают с одинаковым ускорением, т.е. отношение ускорений равно единице, или a1/a2 = (mгр1/mин1)(mин2 /mгр2) = 1.
Это возможно только при пропорциональности инертной и гравитационной масс. Последние эксперименты подтверждают равенство mин = mгр с высокой точностью (относительная ошибка измерений не превышает 10-11).
Общая теория относительности объяснила сущность тяготения, состоящую в изменении геометрических свойств, искривлении четырехмерного пространства-времени вокруг тел, которые образуют поле тяготения. В рамках общей теории относительности Эйнштейну удалось получить уравнение, описывающее поле тяготения.
Для проверки своей теории Эйнштейн предложил три эффекта:
• искривление светового луча в поле тяготения Солнца;
• смещение перигелия Меркурия;
• гравитационное красное смещение.
Эти эффекты, как показали последующие эксперименты, действительно существуют и количественно правильно предсказывались ОТО (с приемлемой на тот исторический момент времени погрешностью).