Концепции современного естествознания - Страница 19

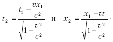
Из отношений видно, что пространственные и временные координаты зависят друг от друга. Что касается сокращения длины в направлении движения, то
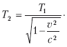
а ход времени замедляется:

В 1971 г. в США был поставлен эксперимент по определению замедления времени. Изготовили двое совершенно одинаковых точных часов. Одни часы оставались на земле, а другие помещались в самолет, который летал вокруг Земли. Самолет, летящий по круговой траектории вокруг Земли, движется с некоторых ускорением, и значит, часы на борту самолета находятся в другой ситуации по сравнению с часами, покоящимися на земле. В соответствии с законами теории относительности часы-путешественники должны были отстать от покоящихся на 184 нс, а на самом деле отставание составило 203 нс. Были и другие эксперименты, в которых проверялся эффект замедления времени, и все они подтвердили факт замедления. Таким образом, разное течение времени в системах координат, движущихся относительно друг друга равномерно и прямолинейно, является непреложным экспериментально установленным фактом.
Общая теория относительности
После опубликования специальной теории относительности в 1905 г. А. Эйнштейн обратился к современному представлению тяготения. В 1916 г. он опубликовал общую теорию относительности (ОТО), которая с современных позиций объясняет теорию тяготения. Она основывается на двух постулатах специальной теории относительности и формулирует третий постулат – принцип эквивалентности инертной и гравитационной масс. Важнейшим выводом ОТО является положение об изменении геометрических (пространственных) и временных характеристик в гравитационных полях (а не только при движении с большими скоростями). Этот вывод связывает ОТО с геометрией, то есть в ОТО наблюдается геометризация тяготения. Классическая геометрия Евклида для этого не годилась. Новая геометрия появилась еще в XIX в. в трудах русского математика Н. И. Лобачевского, немецкого – Б. Римана, венгерского – Я. Больяйя.
Геометрия нашего пространства оказалась неевклидовой.
ОТО[3] – физическая теория, в основе которой лежит ряд экспериментальных фактов. Рассмотрим некоторые из них. Гравитационное поле влияет на движение не только массивных тел, но и света. Луч света отклоняется в поле Солнца. Измерения, проведенные в 1922 г. английским астрономом А. Эддингтоном во время солнечного затмения, подтвердили это предсказание Эйнштейна.
В ОТО орбиты планет незамкнуты. Небольшой эффект такого рода можно описывать как вращение перигелия эллиптической орбиты. Перигелий – это ближайшая к Солнцу точка орбиты небесного тела, которое движется вокруг Солнца по эллипсу, параболе или гиперболе. Астрономам известно, что перигелий орбиты Меркурия поворачивается за столетие примерно на 6000». Это объясняется гравитационными возмущениями со стороны других планет. При этом оставался неустранимый остаток около 40» за столетие. В 1915 г. Эйнштейн объяснил это расхождение в рамках ОТО.
Существуют объекты, в которых эффекты ОТО играют определяющую роль. К ним относятся «черные дыры». «Черная дыра» возникает тогда, когда звезда сжимается настолько сильно, что существующее гравитационное поле не выпускает во внешнее пространство даже свет. Поэтому из такой звезды не исходит никакой информации. Многочисленные астрономические наблюдения указывают на реальное существование таких объектов. ОТО дает четкое объяснение этому факту.
В 1918 г. Эйнштейн предсказал на основе ОТО существование гравитационных волн: массивные тела, двигаясь с ускорением, излучают гравитационные волны. Гравитационные волны должны распространяться с той же скоростью, что электромагнитные, то есть со скоростью света. По аналогии с квантами электромагнитного поля принято говорить о гравитонах как о квантах гравитационного поля. В настоящее время формируется новая область науки – гравитационно-волновая астрономия. Есть надежда, что гравитационные эксперименты дадут новые результаты.
На основании уравнений теории относительности отечественный математик-физик А. Фридман в 1922 г. нашел новое космологическое решение уравнений ОТО Это решение указывает на то, что наша Вселенная не стационарна, она непрерывно расширяется. Фридман нашел два варианта решения уравнений Эйнштейна, то есть два варианта возможного развития Вселенной. В зависимости от плотности материи Вселенная или будет и далее расширяться, или через какое-то время начнет сжиматься.
В 1929 г. американский астроном Э. Хаббл экспериментально установил закон, который определяет скорость разлета галактик в зависимости от расстояния до нашей галактики. Чем дальше разбегающаяся галактика, тем больше скорость ее разбегания. Хаббл использовал эффект Доплера, в соответствии с которым у источника света, удаляющегося от наблюдателя, длина волны увеличивается, то есть смещается к красному концу спектра (краснеет).
Таким образом, все известные научные факты подтверждают справедливость общей теории относительности, которая является современной теорией тяготения.
3.6. Начала термодинамики. Представления об энтропии
Общие сведения о термодинамике
► Термолинамика – это наука о наиболее общих свойствах макроскопических тел и систем, находящихся в состоянии термодинамического равновесия, и о процессах перехода из одного состояния в другое.
Классическая термодинамика изучает физические объекты материального мира только в состоянии термодинамического равновесия. Здесь подразумевается такое состояние, в которое с течением времени приходит система, находящаяся при определенных неизменных внешних условиях и определенной постоянной температуре окружающей среды. Для таких равновесных состояний понятие времени несущественно. Поэтому время в явном виде как параметр в термодинамике не используется. В первоначальном виде эта дисциплина называлась «механическая теория тепла». Термин «термодинамика» был введен в научную литературу в 1854 г. В. Томсоном. Равновесные процессы классической термодинамики позволяют также судить о закономерностях процессов, происходящих при установлении равновесия, то есть рассматривает пути к установлению термодинамического равновесия.
Вместе с тем термодинамика рассматривает условия существования необратимых процессов. Например, распространение молекул газа (закон диффузии) ведет в конце концов к равновесному состоянию, а обратный переход такой системы к первоначальному состоянию термодинамика запрещает.
Задачей термодинамики необратимых процессов сначала было изучение неравновесных процессов для состояний, не слишком сильно отличающихся от равновесного. Возникновение термодинамики необратимых процессов относится к 50-м гг. прошлого столетия. Она сформировалась на базе классической термодинамики, которая возникла во второй половине XIX в. В становлении классической термодинамики выдающуюся роль сыграли работы Н. Карно, Б. Клапейрона, Р. Клаузиуса и др. Прошло сравнительно много времени, прежде чем стало понятно, что классическая термодинамика является по существу термостатикой, а основополагающие уравнения Фурье– Ома—Фика и Навье—Стокса представляют собой элементы будущей термодинамики. Здесь следует назвать одного из пионеров нового направления в термодинамике – американского физика Л. Онсагера (Нобелевская премия 1968 г.), а также голландско-бельгийскую школу И. Пригожина, С. де Грота, П. Мазура. В 1977 г. бельгийскому физику и физико-химику русского происхождения Илье Романовичу Пригожину была присуждена Нобелевская премия по химии «за вклад в теорию неравновесной термодинамики, в особенности – в теорию диссипативных структур, и за ее применения в химии и биологии».