Концепции современного естествознания - Страница 18
В 1904 г. на научном конгрессе французский математик Анри Пуанкаре (1854–1912) высказал мнение, что в природе не может быть скоростей, больших скорости света. Тогда же А. Пуанкаре сформулировал принцип относительности как всеобщий закон природы. В 1905 г. он писал: «Невозможность доказать путем опытов абсолютное движение Земли является, очевидно, общим законом природы». Здесь же он указывает на преобразования Лоренца и на общую связь пространственных и временных координат.
Альберт Эйнштейн (1879–1955), создавая специальную теорию относительности, о результатах Пуанкаре еще не знал. Позже Эйнштейн напишет: «Я совершенно не понимаю, почему меня превозносят как создателя теории относительности. Не будь меня, через год это бы сделал Пуанкаре, через два года сделал бы Минковский, в конце концов, более половины в этом деле принадлежит Лоренцу. Мои заслуги преувеличены». Однако Лоренц со своей стороны в 1912 г. писал: «Заслуга Эйнштейна состоит в том, что он первым выразил принцип относительности в виде всеобщего, строгого закона».
Два постулата Эйнштейна в СТО
Для описания физических явлений Галилей ввел понятие инерциальной системы. В такой системе тело, на которое не действует какая-либо сила, находится в покое или в состоянии равномерного прямолинейного движения. Законы, описывающие механическое движение, в различных инерциальных системах одинаково справедливы, то есть не изменяются при переходе от одной системы координат к другой. Например, если пассажир идет в движущемся вагоне поезда в направлении его движения со скоростью v1 = 4 км/ч, а поезд движется со скоростью v2 = 46 км/ч, то скорость пассажира относительно железнодорожного полотна будет vΣ = v1 + v2 = 50 км/ч, то есть здесь имеется сложение скоростей. По «здравому смыслу» это незыблемый факт:
vΣ = v1 + v2
Однако в мире больших скоростей, соизмеримых со скоростью света, указанная формула сложения скоростей просто неверна. В природе свет распространяется со скоростью с = 300 000 км/с независимо от того, в какую сторону по отношению к наблюдателю движется источник света.
В 1905 г. в немецком научном журнале «Анналы физики» 26-летний Альберт Эйнштейн опубликовал статью «Об электродинамике движущихся тел». В этой статье он сформулировал два знаменитых постулата, которые легли в основание частной, или специальной, теории относительности (СТО), изменившей классические представления о пространстве и времени.
В первом постулате Эйнштейн развил классический принцип относительности Галилея. Он показал, что этот принцип является всеобщим, в том числе и для электродинамики (а не только для механических систем). Это положение не было однозначным, так как потребовалось отказаться от ньютоновского дальнодействия.
Обобщенный принцип относительности Эйнштейна утверждает, что никакими физическими опытами (механическими и электромагнитными) внутри данной системы отсчета нельзя установить, движется эта система равномерно или покоится. При этом пространство и время являются связанными друг с другом, зависящими друг от друга (у Галилея и Ньютона пространство и время независимы друг от друга).
Второй постулат специальной теории относительности Эйнштейн предложил после анализа электродинамики Максвелла – это принцип постоянства скорости света в вакууме, которая примерно равна 300 000 км/с.
Скорость света – это самая большая скорость в нашей Вселенной. Больше скорости 300 000 км/с в окружающем нас мире быть не может.
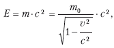
В современных ускорителях микрочастицы разгоняются до огромных скоростей. Например, электрон разгоняется до скорости vе = 0,9999999 С, где vе, С – скорости электрона и света соответственно. При этом, с точки зрения наблюдателя, масса электрона возрастает в 2500 раз:

Здесь me0 – масса покоя электрона, me – масса электрона на скорости ve.
Достичь скорости света электрон не может Однако существуют микрочастицы, которые имеют скорость света, их называют «люксоны».
К ним относятся фотоны и нейтрино. У них практически нет массы покоя, их нельзя затормозить, они всегда движутся со скоростью света с. Все остальные микрочастицы (тардионы) движутся со скоростями меньше скорости света. Микрочастицы, у которых скорость движения могла бы быть больше скорости света, называют тахионами. Таких частиц в нашем реальном мире нет.
Исключительно важным результатом теории относительности является выявление связи между энергией и массой тела. При малых скоростях
где E = mc2– энергия покоя частицы с массой покоя m,а EK – кинетическая энергия движущейся частицы.
Огромным достижением теории относительности является установленный ею факт эквивалентности массы и энергии (E = mc2). Однако речь идет не о превращении массы в энергию и наоборот, а о том, что превращение энергии из одного вида в другой соответствует переходу массы из одной формы в другую. Энергию нельзя заменить массой, так как энергия характеризует способность тела выполнять работу, а масса – меру инерции.
При скоростях релятивистских, близких к скорости света:

где E – энергия, m – масса частицы, m – масса покоя частицы, с – скорость света в вакууме.
Из приведенной формулы видно, что для достижения скорости света частице нужно сообщить бесконечно большую энергию. Для фотонов и нейтрино эта формула несправедлива, так как у них v = c.
Релятивистские эффекты
Под релятивистскими эффектами в теории относительности понимают изменения пространственно-временных характеристик тел при скоростях, соизмеримых со скоростью света.
В качестве примера обычно рассматривается космический корабль типа фотонной ракеты, который летит в космосе со скоростью, соизмеримой со скоростью света. При этом неподвижный наблюдатель может заметить три релятивистских эффекта:
1. Увеличение массы по сравнению с массой покоя. С ростом скорости растет и масса. Если бы тело могло двигаться со скоростью света, то его масса возросла бы до бесконечности, что невозможно. Эйнштейн доказал, что масса тела есть мера содержащейся в ней энергии (E= mc2). Сообщить телу бесконечную энергию невозможно.
2. Сокращение линейных размеров тела в направлении его движения. Чем больше будет скорость космического корабля, пролетающего мимо неподвижного наблюдателя, и чем ближе она будет к скорости света, тем меньше будут размеры этого корабля для неподвижного наблюдателя. При достижении кораблем скорости света его наблюдаемая длина будет равна нулю, чего быть не может. На самом же корабле космонавты этих изменений не будут наблюдать. 3. Замедление времени. В космическом корабле, движущемся со скоростью, близкой к скорости света, время течет медленнее, чем у неподвижного наблюдателя.
Эффект замедления времени сказался бы не только на часах внутри корабля, но и на всех процессах, протекающих на нем, а также на биологических ритмах космонавтов. Однако фотонную ракету нельзя рассматривать как инерциальную систему, ибо она во время разгона и торможения движется с ускорением (а не равномерно и прямолинейно).
В теории относительности предложены принципиально новые оценки пространственно-временных отношений между физическими объектами. В классической физике при переходе от одной инерциальной системы (№ 1) к другой (№ 2) время остается тем же – t2 = tL а пространственная координата изменяется по уравнению x2 = x1– vt. В теории относительности применяются так называемые преобразования Лоренца: