Как работает мозг. - Страница 37

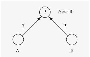
Когда активизируется А, сеть должна включить «А исключающее или В». Когда включается В, сеть должна включить А исключающее или В. Эти факты заставят сеть увеличить вес связи, исходящей от А (скажем, до 0,6) и увеличить вес связи, исходящей от В (скажем, до 0,6), тем самым сделав каждый из этих весов достаточно большим, чтобы преодолеть пороговое значение выходного узла (скажем, 0,5). Но когда включены и А и В одновременно, получается слишком много хорошего сразу: узел «А исключающее или В» ревет белугой как раз тогда, когда нам нужно, чтобы он молчал. Если мы попытаемся применить более низкие коэффициенты весов и более высокий порог, мы можем заставить его молчать, когда включены и А и В, но, увы, он будет молчать и тогда, когда включится только А или только В. Можно экспериментировать с весами сколько угодно, но это ничего не даст. Исключающее или – лишь один из многих демонов, которых нельзя создать на основе персептронов. В числе других – демоны, определяющие, четное или нечетное число блоков активизировано; демоны, определяющие, симметрична ли последовательность активных узлов, а также демоны, выполняющие простейшие задачи на сложение101.
Выход из этой ситуации – сделать сеть менее похожей на пресловутую собаку Павлова и добавить между уровнями входа и выхода еще один уровень: внутреннюю репрезентацию. Нужна такая репрезентация, которая эксплицирует все ключевые виды информации, связанные с входными сигналами, чтобы каждый выходной узел мог просто складывать входные значения и получать правильный ответ. Вот как это работает в случае с исключающим или:

Два скрытых узла между вводом и выводом вычисляют полезные промежуточные результаты. Узел слева вычисляет результат для простого случая «А или В», который, в свою очередь, активизирует выходной узел. Узел справа вычисляет результат для более сложного случая «А и В», и этот результат тормозит выходной узел. Выходной узел может просто вычислить «(А или В) и не (А и В)», это ему вполне по силам. Отметим, что на микроскопическом уровне построения простейших демонов из модельных нейронов без внутренних репрезентаций не обойтись; одних только связей по типу стимула и реакции не достаточно.
Более того, скрытый уровень сети можно научить самостоятельно устанавливать веса связей, используя более хитроумную версию метода обучения, чем в случае персептрона. Как и ранее, учитель задает сети правильный выход для каждого входа, а сеть подстраивает веса связей в большую или меньшую сторону, пытаясь сократить разницу. Однако в связи с этим возникает проблема, с которой не приходилось сталкиваться персептрону: как настроить связи, исходящие от узлов ввода к скрытым узлам. Проблема заключается в том, что учитель, если только он не умеет читать мысли, никак не может знать «правильные» значения для скрытых узлов, запечатанных внутри сети. Психологи Дэвид Румельхарт, Джеффри Хинтон и Рональд Уильямс пришли к хитрому решению. Узлы вывода распространяют обратно к каждому из скрытых узлов сигнал, представляющий сумму ошибок скрытого узла по всем узлам вывода, с которыми он связан («ты посылаешь слишком интенсивный сигнал возбуждения» или «ты посылаешь недостаточно интенсивный сигнал возбуждения» с количественным указанием отклонения). Этот сигнал может служить в качестве суррогата обучающего сигнала, который может использоваться для настройки вводов скрытых узлов. Связи, идущие от узлов уровня ввода к каждому из скрытых узлов, можно немного уменьшить или увеличить, чтобы сократить тенденцию скрытого узла к отклонению вверх или вниз с учетом текущего паттерна ввода. Данный метод, известный как метод обратного распространения ошибки обучения, может быть применен повторно к любому количеству уровней сети.
Мы пришли к тому, что многие психологи считают вершиной мастерства разработчика нейронных сетей. В некотором смысле мы сделали полный круг, потому что сеть, включающая скрытый уровень, напоминает ту самую условную карту логических вентилей, которую Мак-Каллок и Питтс предложили как модель нейронно-логического компьютера. На концептуальном уровне сеть со скрытыми узлами – это способ составить из совокупности суждений, которые могут быть истинными или ложными, сложную логическую функцию, скрепляемую связями «и», «или», «не» – но только с двумя отличительными особенностями. Первая особенность – это то, что значения здесь могут быть не только однозначно включенными или выключенными, но и варьируемыми, а следовательно – могут представлять ту или иную степень истинности или вероятности истинности данного утверждения, а не только абсолютно истинные или абсолютно ложные утверждения. Вторая особенность в том, что эту сеть можно во многих случаях обучить устанавливать правильные веса, подавая вводы и правильные для них выводы. Вдобавок к этим двум особенностям нужно отметить особое отношение: нужно ориентироваться на огромное количество связей между нейронами мозга и не смущаться, как бы много связей и логических элементов ни пришлось добавить в сеть. Придерживаясь такого морального принципа, можно создать сети, способные рассчитывать множество возможностей и, следовательно, использовать статистическую избыточность характеристик мира. А это, в свою очередь, позволит нейронным сетям распространять информацию с одного ввода на другие подобные вводы без дополнительного обучения, при условии, что для данной задачи подобные вводы дают подобные выводы102.
Это всего лишь несколько идей относительно того, как можно воплотить наших крохотных демонов с их досками объявлений в форму машин, отдаленно напоминающих нейронные сети. Эти идеи служат мостиком – пусть пока довольно шатким – на пути объяснения, которое начинается в концептуальной сфере (народная интуитивная психология и лежащие в ее основе своеобразные версии знаний, логики и теории вероятности), ведет дальше к правилам и репрезентациям (демонам и символам) и в конечном итоге приводит к реальным нейронам. Нейронные сети также скрывают приятные сюрпризы. Пытаясь разобраться в «программном обеспечении» мозга, мы в конечном итоге можем использовать только демонов достаточно глупых, чтобы их можно было заменить машиной. Если нам понадобится более умный демон, то придется еще как-то разгадать, как построить его из более глупых демонов. Процесс идет быстрее, а иногда и совсем иначе, когда разработчики нейронных сетей, идущие от нейронов к верхним уровням, создают целый арсенал готовых демонов, которые выполняют простые действия (как в случае с памятью, адресуемой по содержимому или с автоматически обобщающим информацию ассоциатором паттернов). Разработчики ментального программного обеспечения (которые, по сути, занимаются обратным проектированием) располагают неплохим арсеналом запчастей, из которых они могут собрать умных демонов.
Коннектоплазма
В какой же части мыслекода заканчиваются правила и репрезентации, и начинаются нейронные сети? Большинство когнитивистов приходят к единому мнению по крайней мере по поводу крайних точек. На высших уровнях когнитивной способности, где мы сознательно проходим каждый шаг, применяя правила, которые мы выучили в школе или обнаружили сами, мышление похоже на продукционную систему с символическими записями в памяти и демонами, выполняющими операции. На нижнем уровне записи и правила выполняются в рамках чего-то вроде нейронной сети, которая реагирует на знакомые паттерны и ассоциирует их с другими паттернами. Однако граница между ними остается предметом споров. Можно ли сказать, что простые нейронные сети отвечают за преобладающую часть повседневного мышления, а уровню явных правил и суждений оставляют только плоды учености? Или сети больше напоминают строительный материал, не способный на проявление человеческого рассудка, пока из него не будут построены структурированные репрезентации и программы?