Избранное. Том 2 - Страница 22
Механизм рыночных взаимоотношений эффективен во многих областях экономической жизни, но есть сферы, где он бессилен. Более того, буквальное следование рыночной логике в этих сферах может привести к критической ситуации, поставить систему на грань выживания.
Сферы эти отнюдь не представляют загадки. Они хорошо известны и практикам, и ученым. Рыночные механизмы не могут правильно сориентировать в поисках наиболее эффективных решений в ситуациях:
1) монополии или олигополии;
2) при значительном разрыве во времени между затратами и экономическим эффектом (лаг запаздывания при реализации крупных инвестиционных проектов);
3) в условиях снижающихся дополнительных затрат на прирост производства продукции при падающих ценах (эффект научно-технического прогресса), а также в ряде других случаев, рассмотрению которых мы уделяли внимание еще в 1974 г.[36]
Главный враг рыночных механизмов как механизмов организации эффективного функционирования экономики – это, конечно же, монополия. Попробуем описать лаконичным математическим языком те коллизии, которые возникают при столкновении рынка, его механизмов с монополией.
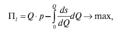
Примем, что экономическая система стремится к максимизации функции

где Q – количество выпускаемого продукта;
Первый элемент правой части этого выражения характеризует валовой экономический эффект потребления, второй – затраты на производство всего объема продукции, а выражение в целом есть не что иное, как суммарный чистый экономический эффект (ПΣ), т. е. суммарная прибыль.
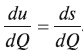
Нетрудно заметить, что расширение производства целесообразно лишь до тех пор, пока дополнительные затраты не сравняются с дополнительным валовым экономическим эффектом от потребления. Математически это положение доказывается проверкой вышеприведенного выражения на максимум. Если продифференцировать ПΣ по Q и производную приравнять нулю, то оптимальный объем производства, обеспечивающий максимум суммарного чистого эффекта, будет соответствовать точке, в которой
Однако в условиях рыночной экономики происходит распределение суммарного экономического эффекта между производителем продукции, ее потребителем и бюджетом. Характер этого распределения во многом определяет заинтересованность экономических субъектов в достижении максимальной общественной эффективности, т. е. в движении производства к точке оптимума.
Каковы же экономические интересы производителя (l) и потребителя (с)? Очевидно, что производитель заинтересован в максимизации разницы между объемом реализации при цене Р и издержками:

где Πl – прибыль производителя.
Потребителю же важно максимизировать разницу между экономическим эффектом от использования продукта и ценой, которую он за нее заплатил:

где Πс – прибыль потребителя.
Если производитель не может влиять на уровень цен (свободная конкуренция), то максимум эффекта производителя будет достигнут в точке, где



Однако если производитель контролирует значительную долю выпуска продукции отрасли и ему предоставляется право влиять на уровень цен и оказывать воздействие на определение объемов выпуска своей продукции, то его интересы могут разойтись с народнохозяйственными. Формально это противоречие может быть показано следующим образом. Если
p = f(Q),
то

Следовательно, максимум эффекта производителя будет достигаться при

Полученный результат свидетельствует о том, что при возможности контроля за значительной массой продукции со стороны производителя точка его локального оптимума не совпадает с точкой народнохозяйственного оптимума. При естественном предположении отрицательной эластичности цен от объема производства (с ростом объема производства цены на продукцию снижаются) производитель, стремясь к максимизации своего локального критерия, будет в большинстве случаев заинтересован в замораживании производства на уровне ниже оптимального и, соответственно, в завышении цен.
В подобных условиях управление экономикой должно обеспечить такую организацию системы функционирования хозяйственных объектов, которая использовала бы эффективные методы изъятия излишних доходов у крупных производственных объединений (монополий).
Рассмотрим теперь ситуацию, создаваемую научно-технической революцией. Собственно говоря, наибольший интерес представляет здесь случай, когда цены падают быстрее, чем снижаются затраты на производство дополнительной продукции (рис. 1).
В этом случае кривая цен DD1 и кривая дополнительных (предельных) затрат SS1 пересекаются, но точка равновесия Р оказывается существенно ниже уровня средних затрат Р1. На рисунке 1 точка оптимума Р соответствует объему производства ОB и цене ВР. Такая цена убыточна, так как она не только не обеспечивает прибыли хозрасчетному объекту, но и не покрывает всех затрат на производство продукции; однако она позволяет достичь максимума чистого народнохозяйственного эффекта.

Рис. 1
Суммарный чистый эффект общества при объеме производства ОB достигает максимума и равен площади DPS. В тоже время расширение производства на большей части отрезка ОB увеличивает убытки предприятия. Выручка его при цене ВР составляет OBPF, а затраты – OBPS. Очевидно, что необходимо «компенсировать» затраты предприятия в размере FPS. Этого нельзя добиться с помощью средних цен, которые покрывали бы суммарные затраты предприятия: график демонстрирует, что такие цены обеспечивают реализацию продукции лишь в объеме ОB (< ОB), не соответствующем оптимальному. В качестве локального критерия, обеспечивающего заинтересованность предприятия в движении к точке народнохозяйственного оптимума в условиях снижающихся дополнительных затрат, должен быть использован показатель интегрального эффекта. При расширении объема производства этот показатель возрастает в нашем примере вплоть до точки Р, соответствующей объему производства ОB.