История с узелками - Страница 12
Узелок II
Губернатор Кговджни дает званный обед в узком кругу и приглашает шурина своего отца, тестя своего брата, брата своего тестя и отца своего шурина. Найти число гостей на этом обеде.
Один гость.

На этом генеалогическом древе мужчины обозначены заглавными, а женщины — строчными буквами. Губернатор обозначен буквой Е, а его гость — буквой C.
В каждой стороне квадрата находится по 20 дверей, делящих ее на 21 равную часть. Все двери перенумерованы по кругу, начиная с некоторой вершины квадрата. Какая из четырех дверей — № 9, 25, 52 или 73 — обладает тем свойством, что сумма расстояний от нее до трех остальных дверей наименьшая?
Дверь № 9.
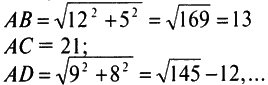
Обозначим девятую дверь через А, двадцать пятую — через В, пятьдесят вторую — через C и семьдесят третью — через D.

Тогда

(12…. означает «между 12 и 13»);

Таким образом, сумма расстояний до трех других дверей для А заключена между 46 и 47, для В — между 54 и 55, для С — между 56 и 57 и для D — между 48 и 51. (Почему не «между 48 и 49»? Постарайтесь разобраться сами.) Следовательно, сумма расстояний минимальна для двери А.
В задаче 2 я молчаливо предполагал, что нумерация домов начинается с одной из вершин квадрата. Подавляющее большинство читателей в своих решениях исходили из того же предположения. Однако одиниз читателей в своем письме сообщает иное: «Если предположить, что в середине каждой из сторон квадрата на площадь выходит некая улица (такое предположение не противоречит условиям задачи!), то вполне допустимо, что нумерация домов на площади начинается где-то на улицах и лишь продолжается на площади». Возможно, бывает и так, но не естественнее ли встать на точку зрения, разделяемую автором и большинством читателей?
Узелок III
Два путешественника садятся на поезда, идущие в противоположных направлениях по одному и тому же замкнутому маршруту и отправляющиеся в одно и то же время. Поезда отходят от станции отправления каждые 15 минут в обоих направлениях. Поезд, идущий на восток, возвращается через 3 часа, поезд, идущий на запад, — через 2. Сколько поездов встретит каждый из путешественников в пути (поезда, которые отбывают со станции отправления и прибывают на нее одновременно с поездом, которым следует путешественник, встречными не считаются)?
Путешественники следуют по тому же маршруту, что и раньше, но начинают считать встречные поезда лишь с момента встречи их поездов. Сколько поездов встретится каждому путешественнику?
1)19 поездов. 2) Путешественник, следующий восточным поездом, встретит 12 поездов, его напарник — 8.
С момента отправления до возвращения в исходный пункт у одних поездов проходит 180 минут, у других — 120. Возьмем наименьшее общее кратное 180 и 120 (оно равно 360) и разделим весь маршрут на 360 частей (будем называть каждую часть просто единицей). Тогда поезда, идущие в одном направлении, будут следовать со скоростью 2 единицы в минуту, а интервал между ними будет составлять 30 единиц. Поезда, идущие в другом направлении, будут следовать со скоростью 3 единицы в минуту, а интервал между ними будет равен 45 единицам. Восточный поезд проходит 2/ 5этого расстояния, встречный — остальные 3/ 5, после чего они встречаются в 18 единицах от станции отправления. Все последующие поезда восточный поезд встречает на расстоянии 18 единиц от места предыдущей встречи. В момент отправления западного поезда первый встречный поезд находится от него на расстоянии 30 единиц. Западный поезд проходит 3/ 5этого расстояния, встречный — остальные 2/ 5, после чего они встречаются на расстоянии 18 единиц от станции отправления. Каждая последующая встреча западного поезда с восточными происходит на расстоянии 18 единиц от места предыдущей встречи. Следовательно, если вдоль всего замкнутого маршрута мы расставим 19 столбов, разделив его тем самым на 20 частей по 18 единиц в каждой, то поезда будут встречаться у каждого столба. При этом в первом случае (задача 1) каждый путешественник, вернувшись на станцию отправления, проедет мимо 19 столбов, а значит, встретит 19 поездов. Во втором случае (задача 2) путешественник, едущий на восток, начинает считать поезда лишь после того, как он проедет 2/ 5всего пути, то есть доедет до восьмого столба, и таким образом успевает сосчитать лишь 12 столбов (или, что то же самое, поездов). Его конкурент сосчитает лишь 8. Встреча их поездов происходит в конце 2/ 5от 3 часов, или 3/ 5от 2 часов, то есть спустя 72 минуты после отправления.
Узелок IV
Имеются 5 мешков. Первый и пятый мешки вместе весят 12 фунтов, второй и третий — 13 1/ 2фунта, третий и четвертый — 11 1/ 2фунта, четвертый и пятый — 8 фунтов, первый, третий и пятый — 16 фунтов. Требуется узнать, сколько весит каждый мешок.