Истина в пределе. Анализ бесконечно малых - Страница 3
Проиллюстрируем это на примере. Рассмотрим, как и в прошлых примерах, движущееся тело, которое в момент времени t прошло расстояние в s(t) = √t. Время будем измерять в секундах, расстояние — в метрах. Вычислить среднюю скорость движения тела несложно: например, в период времени с первой по четвертую секунду средняя скорость будет равна отношению пройденного пути и затраченного времени:
Но что, если нас интересует не средняя скорость, а мгновенная скорость в конкретный момент времени? Чтобы упростить рассуждения, допустим, что мы хотим вычислить мгновенную скорость в тот момент, когда проходит ровно одна секунда от начала движения. Выберем приращение времени h и вычислим среднюю скорость в интервале времени от 1 секунды до (1 + h) секунд:

Чтобы вычислить мгновенную скорость в первую секунду, достаточно свести приращение времени h к нулю. Однако в этом случае снова возникает неопределенность:

Это происходит потому, что мгновенная скорость соответствует значению производной функции пройденного пути s(t) = √t. в момент времени t = 1.
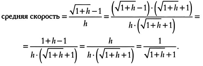
В предыдущей таблице с числами указано, что значение этой производной должно равняться 0,5. Покажем, что это и в самом деле так, устранив неопределенность следующим способом:

Умножим числитель и знаменатель на √(1+h) + 1 и упростим выражение:

Если в последнем выражении свести приращение времени h к нулю, то мы уже не столкнемся с неопределенностью и делением на ноль. Как и следовало ожидать, при h = 0 значение дроби будет равно 0,5. На языке физики это означает:
Следовательно, мы устранили изначальную неопределенность, которая возникает из-за деления ноля на ноль, и получили, что если тело проходит за t секунд √t метров, то по прошествии 1 секунды оно будет двигаться со скоростью 1/2 м/с.
Интегралы
Другим базовым понятием анализа бесконечно малых является понятие интеграла. Интеграл используется для вычисления площади, ограниченной графиком функции.
Например, пусть дана функция f, определенная на интервале между а и b. Значение интеграла

будет равно площади следующей фигуры:

Символ ∫ для обозначения интеграла придумал Лейбниц (об этом подробно рассказывается в главе 4). Этот символ представляет собой стилизованную букву S — первую букву латинского слова summa («сумма»).
Интеграл применяется не только для вычисления площадей: в математике он также используется для расчета объемов, длин и определения центра тяжести. В физике ему соответствует понятие работы. Работа, которую необходимо совершить,. чтобы переместить тело под действием силы f из точки а в точку b, рассчитывается по формуле:

Интеграл также используется для расчета пройденного телом пути, если известна скорость тела. Рассмотрим в качестве примера физическую задачу, о которой мы говорили в самом начале этой главы: какой путь пройдет тело спустя 4 секунды после начала движения, если в течение t секунд оно двигалось со скоростью, равной t2 м/с? Ответ вычисляется по следующей формуле:

Задача сводится к вычислению этого интеграла. Если интерпретировать интеграл как площадь фигуры, он будет соответствовать площади, ограниченной участком параболы. Эту площадь вычислил Архимед еще 2300 лет назад. Это открытие наряду с другими принесло ему вечную славу: Архимеда по праву можно считать одним из величайших основателей интегрального исчисления (об этом более подробно рассказывается в главе 2).
Строгое определение интеграла, в котором не участвует понятие площади, — непростой вопрос с точки зрения логики. Здесь, пусть и в несколько иной форме, в дело снова вступают бесконечно малые величины. Из рисунка на предыдущей странице видно, что искомая фигура состоит из отрезков длиной f(t), где t принимает все возможные значения на интервале от а до b. Площадь искомой фигуры представляет собой сумму «площадей» этих отрезков. Однако эти отрезки имеют нулевую ширину, поэтому может показаться, что они не имеют площади. Мы вновь сталкиваемся с понятием бесконечно малой величины — ширины этих отрезков. В нотации, придуманной Лейбницем для обозначения интегралов, площадь фигуры, ограниченной кривой, понимается как сумма бесконечно малых: согласно рисунку на предыдущей странице, все отрезки, образующие фигуру, имеют высоту f(t).
Согласно Лейбницу, бесконечно малая ширина обозначается dt. Площадь этих «отрезков» равна произведению их основания на высоту, то есть f(t) dt, а площадь фигуры, которую мы хотим вычислить, равна сумме этих площадей: ∫f(t)dt.
Смысл этой суммы так и не смогли объяснить ни Ньютон, ни Лейбниц, создатели анализа бесконечно малых. По сути, первое точное определение интеграла было дано почти полтора столетия спустя усилиями Коши. В нем также используется понятие предела (более подробно об этом рассказывается в главе 6).
Вычисление площадей криволинейных поверхностей — очень сложная задача, в чем на собственном опыте убедились предшественники Ньютона и Лейбница. В некотором смысле эта задача аналогична задаче о вычислении интеграла. Вычисление интегралов во многих случаях (но не всегда) упрощает основная теорема анализа.
Основная теорема анализа
Анализ бесконечно малых — своеобразный мост между производными и интегралами: основная теорема анализа гласит, что интегрирование и вычисление производной являются взаимно обратными операциями. Точнее говоря, если мы хотим вычислить интеграл

то, согласно основной теореме анализа, достаточно найти функцию F такую, что
для любого t в интервале между а и b. В этом случае

Функция f должна обладать еще одним свойством — непрерывностью, на котором мы не будем останавливаться подробно.
Рассмотрим на примере, как основная теорема анализа упрощает вычисление интеграла

Этот интеграл в зависимости от его интерпретации можно использовать для расчета площади, ограниченной параболой; площади, ограниченной спиралью Архимеда; а также пути, пройденного телом, которое движется со скоростью v(t) = t2.
Согласно основной теореме анализа, достаточно найти функцию, производной которой будет функция t2. Это нетрудно сделать с помощью правила вычисления производной степенной функции:
Тогда
Отсюда нетрудно вывести, что производная функции t3/3 в точности равна t2. Следовательно:

Как мы уже упоминали выше, путь, пройденный за 4 секунды телом, которое в течение t секунд движется со скоростью t2, определяется интегралом: