Искусство схемотехники. Том 1 (Изд.4-е) - Страница 22
Другой разновидностью LC-схем является последовательная LC-схема (рис. 1.64).

Рис. 1.64. Узкополосный режекторный LC-фильтр («ловушка»).
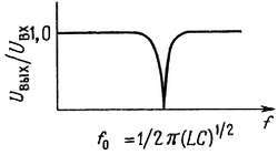
Используя выражение для импеданса, можно показать, что импеданс последовательной LC-схемы стремится к нулю на частоте f0 = 1/2π(LC)1/2; такая схема на резонансной частоте или вблизи нее как бы «захватывает» сигнал и заземляет его. Эта схема, так же как и предыдущая, применяется в основном в радиотехнике. На рис. 1.65 изображена ее характеристика. Для последовательной RLC-cхемы Q = ω0L/R.

Рис. 1.65.
Упражнение 1.26. Выведите выражение для характеристики (определяющей зависимость отношения Uвых/Uвx от частоты) схемы с последовательным LC-контуром, показанной на рис. 1.64.
1.23. Другие примеры использования конденсаторов
Конденсаторы являются необходимым компонентом не только для фильтров, резонансных, дифференцирующих и интегрирующих схем, но и для ряда других немаловажных схем. Более подробно мы поговорим об этих схемах позже, а сейчас просто ознакомимся с ними.
Шунтирование. Импенданс конденсатора уменьшается с увеличением частоты. На этом основано использование конденсатора в качестве шунта. Бывают такие случаи, что на некоторых участках схемы должно присутствовать только напряжение постоянного или медленно меняющегося тока. Если к тому участку схемы (обычно резистору) параллельно подключить конденсатор, то все сигналы переменного тока на резисторе будут устранены. Конденсатор выбирают так, чтобы его импеданс был малым для шунтируемого сигнала. В последующих главах вы встретите множество примеров шунтирования сигналов с помощью конденсатора.
Фильтрация в источниках питания. Обычно, говоря о фильтрации в источниках питания, имеют в виду накопление энергии. Практически при фильтрации происходит шунтирование сигналов. В электронных схемах обычно используют напряжение постоянного тока, которое получают путем выпрямления напряжения переменного тока сети (процесс выпрямления мы рассмотрим дальше в этой главе). Часть составляющих входного напряжения, которое имело частоту 60 (50) Гц, остается и в выпрямленном напряжении, от них можно избавиться, если предусмотреть шунтирование с помощью больших конденсаторов. Шунтирующие конденсаторы — это как раз те круглые блестящие элементы, которые можно увидеть внутри большинства электронных приборов. О том, как конструировать источники питания, мы поговорим позже в этой главе, а затем в гл. 6 еще раз вернемся к этому вопросу.
Синхронизация и генерация сигналов. Если через конденсатор протекает постоянный ток, то при заряде конденсатора формируется линейно нарастающий сигнал. Это явление используют в генераторах линейно-изменяющихся и пилообразных сигналов, в генераторах функций, схемах развертки осциллографов, в аналого-цифровых преобразователях и схемах задержки. Для синхронизации используют также RС-цепи, и на их основе строят цифровые схемы задержки (ждущие мультивибраторы). Во многих областях электроники используют конденсаторы для синхронизации и генерации сигналов, и именно об этих применениях конденсаторов вы более подробно узнаете из гл. 3, 5, 8 и 9.
1.24. Обобщенная теорема Тевенина об эквивалентном преобразовании (эквивалентном генераторе)
Для схем, включающих конденсаторы и индуктивности, теорема об эквивалентном преобразовании должна быть сформулирована следующим образом: всякая схема, имеющая два вывода и содержащая резисторы, конденсаторы, индуктивности и источники сигналов, эквивалентна цепи, представляющей собой последовательное соединение одного комплексного импеданса и одного источника сигнала. Как и прежде, эквивалентный импеданс и источник определяют по выходному напряжению разомкнутой цепи и по току короткого замыкания.
Диоды и диодные схемы
1.25. Диоды
Элементы, которые мы рассматривали до сих пор, относятся к линейным. Это значит, что удвоение приложенного сигнала (скажем, напряжения) вызывает удвоение отклика (скажем, тока). Этим свойством обладают даже реактивные элементы, конденсаторы и индуктивности. Рассмотренные элементы являются также пассивными, т. е. они не имеют встроенного источника энергии. И, кроме того, все эти элементы имеют по два вывода.
Диод (рис. 1.66) представляет собой пассивный нелинейный элемент с двумя выводами.
Рис. 1.66. Диод.
Вольт-амперная характеристика диода показана на рис. 1.67. (Придерживаясь принятого нами подхода, не будем объяснять физику явлений, определяющих функционирование этого элемента.)

Рис. 1.67. Вольт-амперная характеристика диода.
На условном обозначении направление стрелки диода (так обозначают анод элемента) совпадает с направлением тока. Например, если через диод в направлении от анода к катоду протекает ток величиной 10 мА, то анод на 0,5 В более положителен, чем катод; эта разница напряжений называется «прямым напряжением диода». Обратный ток для диодов общего назначения измеряется в наноамперах (обратите внимание на разный масштаб измерений по оси абсцисс для прямого и обратного тока), и его, как правило, можно не принимать во внимание до тех пор, пока напряжение на диоде не достигнет значения напряжения пробоя (это напряжение называют также пиковым обратным напряжением). Для диодов общего назначения типа 1N914 напряжение пробоя составляет обычно 75 В. (Как правило, на диод подают такое напряжение, которое не может вызвать пробой, исключение составляет упомянутый ранее зенеровский диод.) Чаще всего падение напряжения на диоде, обусловленное прямым током через него, составляет от 0,5 до 0,8 В. Таким падением напряжения можно пренебречь, и тогда диод можно рассматривать как проводник, пропускающий ток только в одном направлении.
К другим важнейшим характеристикам, отличающим существующие типы диодов друг от друга, относят: максимальный прямой ток, емкость, ток утечки и время восстановления обратного сопротивления (см. табл. 1.1, в которой приведены характеристики некоторых типов диодов).
Прежде чем начинать рассматривать схемы, содержащие диоды, отметим два момента: 1) диод не обладает сопротивлением в указанном выше смысле (не подчиняется закону Ома); 2) схему, содержащую диоды, нельзя заменить эквивалентной.
1.26. Выпрямление
Выпрямитель преобразует переменный ток в постоянный; выпрямительные схемы являются самыми простыми и наиболее полезными в практическом отношении диодными схемами (иногда диоды даже называют выпрямителями).
Простейшая выпрямительная схема показана на рис. 1.68.

Рис. 1.68. Однополупериодный выпрямитель.