Инновационный менеджмент: Шпаргалка - Страница 15
43. ВЕНЧУРНОЕ И СМЕШАННОЕ ФИНАНСИРОВАНИЕ, ФИНАНСОВЫЙ ЛИЗИНГ, ФОРФЕЙТИНГ
Венчурное финансирование осуществляется фондами риско-капитала путем предоставления денежных ресурсов на беспроцентной основе без гарантий их возврата. Деятельность венчурных фондов по финансированию инновационных проектов обладает рядом характерных особенностей, что отличает их от традиционных инвестиционных фондов:
1) риско-инвесторы готовы к потере своего капитала (не требуют залоговых гарантий возврата предоставленных средств);
2) «риско-капитал» предоставляется на длительный срок (5–7 лет) без права его изъятия;
3) «риско-капитал» размещается только в форме акционерного капитала.
Риск венчурных инвесторов велик, однако в случае удачи он компенсируется сверхприбылью. Статистика показывает, что в 15 % случаев венчурный капитал полностью теряется, в 25 % – риско-фирмы терпят убытки в течение большего срока, чем планировалось, в 30 % – получают умеренные прибыли и в 30 % – сверхприбыли (превышение «риско-капитала» в 30-200 раз).
Финансовый лизинг – процедура привлечения заемных средств в виде долгосрочного кредита, предоставляемого в натуральной форме и погашаемого в рассрочку. При осуществлении финансового лизинга лизингодатель обязуется приобрести указанное лизингополучателем имущество у определенного продавца и передать его лизингополучателю на определенный срок во временное владение и пользование. Срок действия договора по финансовому лизингу больше или равен сроку полной амортизации предмета лизинга. После завершения срока действия договора предмет лизинга может быть передан в собственность лизингополучателю при условии полной выплаты сумм по договору лизинга.
Форфейтинг является операцией по трансформации коммерческого кредита в банковский. Суть операции заключается в следующем. Покупатель, не располагающий на момент заключения сделки требуемой суммой финансовых ресурсов, выписывает продавцу комплект векселей на сумму, равную стоимости объекта сделки и процентов за отсрочку платежа, т. е. за предоставление коммерческого кредита. Продавец учитывает полученные векселя в банке с формулировкой «без права оборота на себя», что освобождает его от имущественной ответственности в случае неплатежеспособности векселедателя. По учтенным платежам продавец получает деньги в банке. В результате коммерческий кредит предоставляет не продавец, а банк, согласившийся учесть векселя и принявший на себя кредитный риск, т. е. коммерческий кредит трансформируется в банковский. Величина кредитного риска, зависящая от надежности векселедателя, влияет на ставку дисконта, по которой учитываются векселя банком. Кредитование по схеме форфейтинга является среднедолгосрочным (от 1 года до 7 лет).
Смешанное финансирование осуществляется путем привлечения финансовых средств, необходимых для реализации инновационных проектов, из различных источников.
44. ЭКОНОМИЧЕСКАЯ ЭФФЕКТИВНОСТЬ ИННОВАЦИЙ
Для оценки экономической эффективности инновационного проекта могут быть использованы две группы методов: статические и динамические.
В статических методах денежные потоки, возникающие в разное время, оцениваются как равноценные. Статические методы используются для быстрой и приближенной оценки проектов. Рекомендуются к применению на ранних стадиях экспертизы инновационных проектов, а также для проектов, имеющих короткий инвестиционный период.
При использовании динамических методов разновременные денежные потоки приводятся к единому моменту времени. Эта операция называется дисконтированием денежных потоков. В качестве точки приведения обычно принимают момент времени, соответствующий началу инвестирования проекта или принятия решения о целесообразности дальнейшей реализации проекта. Дисконтирование позволяет скорректировать значения денежных потоков с учетом их уменьшения (увеличения) с течением времени (пример: 1 рубль вчера * 1 рубль сегодня * 1 рубль завтра).
При определении экономической эффективности проекта исходят из предположения, что потенциальный инвестор может вложить денежные средства в гипотетический источник накопления капитала, гарантирующий ему некоторый доход. При этом ставка дисконта определяется как ставка по наилучшей для инвестора альтернативной форме вложения капитала.
Для оценки ставки дисконта d может быть использован метод цены капитальных активов (модель CAPM – capital assets pricing model):
d = a + b + c,
где a – безрисковая ставка ссудного капитала или чистая доходность альтернативных проектов вложения финансовых средств; b – уровень премии за риск для инновационных проектов данного типа (в соответствии с классификацией нововведений); c – инфляционные ожидания за период реализации проекта.
Для оценки экономической эффективности инновационного проекта рекомендуется использовать «Методические рекомендации по оценке эффективности инвестиционных проектов и их отбору для финансирования», утвержденные совместным постановлением Гостроя РФ, Минэкономики РФ, Минфина РФ и Госкомпрома РФ от 31 марта 1994 г.
45. ОСНОВНЫЕ ПОКАЗАТЕЛИ ЭКОНОМИЧЕСКОЙ ЭФФЕКТИВНОСТИ
Основными показателями экономической эффективности являются следующие.
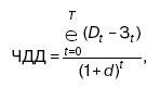
1. Определение чистого дисконтированного дохода. ЧДД характеризует эффективность инновационного проекта при известном значении нормы дисконта:

где Dt – доходы по проекту в t-м году; 3t – затраты по проекту в t-м году; d – ставка дисконта; Т – срок реализации прокта. Инновационный проект считается эффективным при ЧДД > 0.
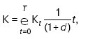
2. Определение индекса доходности.

где Зtt – затраты по проекту в i-м году без учета капиталовложений; К – дисконтированные капиталовложения;

Кt – капиталовложения в t-м году. Инновационный проект считается эффективным при ИД > 1. 3. Определение внутренней нормы доходности.
Внутренняя норма доходности представляет собой ставку дисконта, при которой чистый дисконтированный доход равен нулю. ВНД является решением уравнения:

Инновационный проект считается эффективным, если ВНД ≥ dn (dn – ожидаемая норма дохода на инвестируемый капитал).
Если при сравнении двух альтернативных вариантов по показателям ЧДД и ВНД получены следующие результаты:
ЧДД1 > ЧДД2,
ВНД1 < ВНД2,
то приоритетным является показатель ЧДД.
4. Определение срока окупаемости. Срок окупаемости – период времени, за который дисконтированные затраты будут компенсированы дисконтированными доходами.
Ток является решением уравнения

Инновационный проект считается эффективным, если Tок ≤ Tн, где Tн – нормативный срок окупаемости капиталовложений (составляет от 1 года до 5 лет в зависимости от капиталоемкости проекта).
46. РИСК ИННОВАЦИОННЫХ ПРОЕКТОВ. ВЫЯВЛЕНИЕ РИСКА
Понятие «риск» означает возможность возникновения неблагоприятного события. В данном случае под неблагоприятным событием подразумевают недостижение желаемого результата инновационного процесса. Риск характеризуют две величины: степень риска (вероятность возникновения неблагоприятного события) и мера (цена) риска (потенциальные потери в случае неблагоприятного события). Основная задача управления инновационными рисками заключается в минимизации потерь, связанных с возникшими несоответствиями.