Химия. Полный справочник для подготовки к ЕГЭ - Страница 58
отсюда
3) Определено количество NH 3в растворе для реакции (II):

следовательно, NH 3– в избытке, и расчет далее ведется по AlCl 3.
4) Определена масса Al(ОН) 3по уравнению (II): 0,1014 моль AlCl 3– 0,1014 моль Al(ОН) 3,

1. Приготовили раствор 134,4 л (н.у.) диоксида серы и добавили 1,5 л 25 %-ного раствора гидроксида натрия (плотность раствора 1,28 г/мл). Определите массу (в граммах) образовавшейся соли.
2. Сульфид свинца (II) массой 95,6 г обрабатывают с помощью 300 мл 30 %-ного раствора пероксида водорода (плотность раствора 1122,2 г/л). Рассчитайте массу (в граммах) продукта – сульфата свинца (II).
3. Смешали 100 г 5,64 %-ного раствора фенола и 100 г 17,92 %-ного раствора гидроксида калия. Найдите массовую долю (в %) избытка одного из реагентов в конечном растворе.
4. Установите массу (в граммах) железной пластинки после выдерживания в 110 мл 10 %-го раствора CuSO 4(плотность раствора 1,1 г/мл), если до опыта ее масса составляла 11,5 г.
5. Вычислите объем (в литрах) 96 %-ного водного спирта с плотностью 0,81 кг/л, полученного каталитической гидратацией 112 м 3(н.у.) этилена, содержащего 12,5 % (по объему) этана.
6. Газ, полученный сжиганием 44,8 л (н.у.) сероводорода в кислороде, поглощен с помощью 0,5 л 25 %-ного раствора гидроксида натрия (плотность раствора 1,275 г/ мл). Определите массовую долю (в %) соли в конечном растворе.
7. Углекислый газ объемом 15 л (н.у.) пропущен через 560 г 5%-ного раствора гидроксида калия. Найдите массу (в граммах) соли, полученной в этом процессе.
8. Железная пластинка массой 5 г опущена на некоторое время в 50 мл 15 %-ного раствора сульфата меди (II) с плотностью 1,12 г/мл. Масса пластинки увеличилась на 0,16 г. Какова массовая доля (в %) сульфата меди (II) в оставшемся растворе?
9. По реакции Кучерова получен этаналь, который переведен в соответствующую кислоту в виде 100 г 6%-ного водного раствора. Найдите объем (в литрах, н.у.) исходного органического соединения в получении этаналя.
10. Определите массовую долю (в %) избытка одного из реагентов в растворе после сливания 80 г 10 %-ного раствора гидроксида натрия и 2O г 18,25 %-ной хлороводородной кислоты.
11. Установите объем (в литрах, н.у.) газа, собранного после внесения 0,3 моль алюминия в 160 мл 20 %-ного раствора гидроксида калия (плотность раствора 1,19 г/мл).
12. Найдите массу (в граммах) органического продукта, полученного при смешивании 250 г 94 % – ного водного раствора фенола и 2143 г 3,5 %-ной бромной воды.
15.7. Нахождение молекулярной формулы органического соединения
При выведении формул веществ, особенно в органической химии, часто используют относительную плотность газа.
Относительная плотность газа X– отношение абсолютной плотности этого (неизвестного) газа к абсолютной плотности другого (известного) газа В при одинаковых условиях:
Для 1 моль газа его абсолютная плотность равна
откуда
Если газ В задан, то
– плотность газа X по водородуН 2( М= 2 г/моль)
– плотность газа X по воздуху( М= 29 г/моль)
и аналогично для любого другого известного газа X.
1. В результате сгорания кислородсодержащего органического соединения в избытке воздуха собрано 1,584 г СO 2и O,972 мл Н 2O. Плотность пара этого соединения по воздуху равна 1,5865.
Выведите формулу соединения, если в его молекуле содержатся два одноименных радикала.
Элементы ответа.
1) Составлена схема реакции:
2) Определена масса С и Н в этом соединении:

3) Определена формула соединения C x Н y O z :

при х= 1 и у= 3: М(СН 3) = 15, 46–15 = 31 г/моль на кислород – это не подходит,
при х= 2 и у= 6: 2М(СН 3) = 30, М 0= 16, 30 + 16 = = 46 г/моль – это подходит, таким образом, искомая формула соединения С 2Н 6O, или с учетом условия (СН 3) 2O.
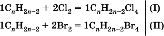
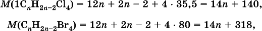
2. Некоторая масса неизвестного алкина с избытком хлора дает 21 г тетрахлор-производного. Такая же масса того же алкина с избытком брома – 38,8 г тетрабром-производного. Выведите формулу взятого алкина.
Элементы ответа.
1) Составлены уравнения реакций:

2) Составлены выражения для молярных масс производных:

и для молярной массы алкина:

3) Выведена формула алкина: по условию масса алкина одинакова в реакциях (I) и (II), следовательно

откуда n= 5 и формула алкина С 5Н 8.
1. При сжигании углеводорода (плотность по воздуху равна 2) в кислороде образовалось 90 г воды. Выведите формулу углеводорода.
2. Гомолог этена массой 7 г присоединяет 2,24 л (н.у.) бромоводорода. Какова формула этого гомолога?
3. Выведите формулу некоторого углеводорода, если при сжигании в кислороде он образовал 6,6 г углекислого газа и 2,16 мл воды.
4. При полном сгорании некоторого арена в кислороде собрано 7,168 л (н.у.) углекислого газа. Выведите формулу этого углеводорода.
5. Выведите формулу одноатомного спирта, если при взаимодействии 27,6 г этого спирта с бромоводородом (в присутствии серной кислоты) получено 65,4 г бромалкана.
6. При сжигании 1,64 г органического соединения в избытке кислорода получено 1,06 г карбоната натрия, 1,12 л (н.у.) углекислого газа и 1,26 мл воды. Выведите формулу этого соединения.