Химия. Полный справочник для подготовки к ЕГЭ - Страница 46
Такое соотношение обозначают К си называют константой равновесияданной реакции:
Это выражение носит название равновесный закон действующих масс(К. Гулльберг, П. Воге, 1867).
Значение К схарактеризует состояние равновесия в данной реакции и определяется соотношением концентраций, т. е. величина К сне зависит от каждой в отдельности равновесной концентрации – [А], [В], [D] или [Е].
Химическое равновесие не означает, что наступило состояние покоя. Прямая и обратная реакции протекают и в состоянии равновесия, но с одинаковой скоростью. Поэтому оно называется подвижным (динамическим)равновесием.
Подвижное химическое равновесие можно нарушить, оказывая на систему внешнеевоздействие и тем самым изменяя условия протекания реакции – температуру, давление, концентрацию. При любом нарушении (сдвиге)химического равновесия система перейдет ( сместится) в другое состояние равновесия.
Влияние условий на смещение химического равновесия определяется принципом, который установлен французским ученым A.-Л. Ле-Шателье (1884).
Современная формулировка принципа смещения равновесия, называемого принципом Ле-Шателье:
Рассмотрим подробнее влияние таких факторов, как температура, давление, концентрация, на смещение равновесия.
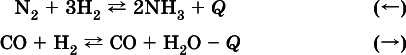
1. Температура.Повышениетемпературы смещает равновесие обратимой реакции в сторону процесса, идущего с поглощениемтеплоты ( эндотермическоенаправление), а понижениетемпературы – в сторону процесса, идущего с выделениемтеплоты ( экзотермическоенаправление).
Дляэкзотермической реакции:
Дляэндотермической реакции:
Значение К собязательно изменится при повышении и понижении температуры, так как значения констант скорости k прямой (→) и обратной (←) реакций по-разному зависят от температуры, ведь это реакции между разными реагентами (соответственно А и В или D и Е). Следовательно, константа равновесия – функция температуры:
Примеры:
а) повышениетемпературы (нагревание):

б) понижениетемпературы (охлаждение):

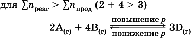
2. Давление. Изменение давления оказывает влияние только на те системы, где хотя бы одно вещество находится в газообразном состоянии (твердые и жидкие вещества не учитываются, так как их собственный объем весьма мал по сравнению с объемом газов и паров).
Увеличениедавления в обратимой реакции смещает равновесие с сторону процесса, идущего с уменьшением количества газообразных веществ, т. е. с уменьшениемобъема, а уменьшение давления – в сторону увеличения количества газообразных веществ, т. е. с увеличениемобъема:
а)

б)

При Σn реаг= Σn продизменение не вызовет смещения равновесия.
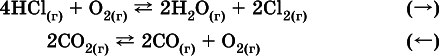
Примеры гомогенныхреакций:
а) увеличениедавления (сжатие):

б) уменьшениедавления (расширение):

Примеры гетерогенныхреакций (коэффициенты перед формулами конденсированных веществ не учитываются):
а) увеличениедавления (сжатие):

б) уменьшениедавления (расширение):

В реакциях с равными количествами газообразных реагентов и продуктов (здесь 2 = 2 в обоих примерах):

сдвиг равновесия наблюдаться не будет.
3. Концентрация. При увеличенииконцентрации одного из газообразных веществ (реагента или продукта), находящегося в равновесной системе, равновесие смещается в сторону расхода данного вещества. При уменьшенииконцентрации этого вещества равновесие смещается в сторону образованияданного вещества. Изменение содержания твердых и жидких веществ не влияет на состояние равновесия.
Для некоторой реакции:

Смещение равновесия вправо можно было вызвать добавлением избытка реагента А (вместо В), а смещение влево возможно только избытком продукта D (другой продукт – твердое вещество).
Этот вывод следует непосредственно из равновесного закона действующих масс:
При добавлении в систему газа D равновесие сместится влево т. е. при протекании обратной реакции так увеличится содержание газов А и В, что соотношение концентраций останется постоянным и равным К с. Отметим еще раз, что добавление конденсированного вещества (здесь твердого Е) не повлияет на состояние равновесия (сдвиг равновесия добавлением Е невозможен).
Примеры:
а) при добавлении аммиака равновесие сместится вправо:

б) при добавлении водорода равновесие сместится влево:

1. Гетерогенные реакции – это
1) Н 2+ I 2(г) → HI
2) Fe 2(SO 4) 3(т) → Fe 2O 3(T) + SO 3
3) Zn + H 2SO 4→ ZnSO 4+ H 2↑
4) CO + H 2→ CO + H 2O (nap)
2. При взаимодействии H 2с Cl 2, Br 2и I 2в сосудах равного объема через 27 с образуется по 0,04 моль продуктов. Скорость реакции
1) выше для I 2
2) выше для Cl 2
3) одинакова
4) выше для Br 2
3. Для гомогенной реакции А + В →… при одновременном увеличении молярной концентрации исходных веществ в 3 раза скорость реакции возрастет