Хаос и структура - Страница 209

Изменить размер шрифта:

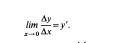
y=ƒ(x)

y+∆y=ƒ(x+∆x)

2) определяется отсюда приращение функции —

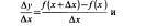
∆y=ƒ(x+∆x)-y

∆y=ƒ(x+∆x)-ƒ(x)

3) берется отношение приращений ∆у и ∆x

Хаос и структура - _89.jpg

4) происходит переход к пределу, считая, что ∆х стремится к 0. Отсюда —

Хаос и структура - _90.jpg

Таков в общей форме процесс всякого дифференцирования. Правда, этот общий прием не всегда удобен, но об этих деталях говорить не будем.

Что же касается вопроса о классификации функций, которая только и может внести логический стройный порядок в этот отдел дифференциального исчисления, то и этого вопроса в данном месте касаться не стоит. Вопрос о классификации функций отнюдь не такой легкий, как это представляют себе математические руководства. Легкость достигается тем, что обычно перечисляют только простейшие и легчайшие функции и отбрасывают более сложные, а потом начинают вводить их без всякого предупреждения.

Так, неизвестно, в каком месте надо излагать гиперболические функции. Тригонометрические функции хотя и излагаются сейчас же после дифференцирования «алгебраических» функций, но неизвестно почему. Неизвестно также, что, собственно, такое «тригонометрические» функции. Обычное определение их как отношения определенных линий к радиусу круга—слишком внешнее определение; оно в сущности ничего не говорит. Уже одно выражение их при помощи числа е в известных формулах Эйлера указывает на полную их загадочность и таинственность; и не так–то просто найти их вполне существенное определение. Эллиптические функции справедливо отнесены в отдел теории функций комплексного переменного. Но положение самого этого отдела в системе анализа совершенно неопределенно. Казалось бы, естественно было бы излагать функции комплексного переменного вслед за рациональными и иррациональными функциями, поскольку само понятие комплексной величины есть неограниченное завершение понятия величины вообще. Тем не менее ни в дифференцировании, ни в интегрировании функций обычно этих функций не помещают, а помещают их почему–то в отдел «аналитических» функций, причем опять невозможно разобрать, что такое аналитические функции. С одной [230]стороны, аналитические функции комплексного переменного поставлены в ближайшую связь. С другой стороны, оказывается, что аналитические — это все вообще функции (так как аналитические—те, которые дифференцируемы). И т. д., и т. д., и т. д.

Вся эта неразбериха, не свидетельствующая о логической силе математиков, требует кропотливого анализа, который невозможно провести здесь, не удаляясь далеко в сторону, хотя только логически стройная классификация функций и могла бы внести порядок и последовательность в рассматриваемый отдел дифференциального (и соответственно—интегрального) исчисления. Сюда же относится, конечно, дифференцирование неявных функций, нахождение частных производных и производных высшего порядка. Это естественно вытекает из самого понятия дифференцирования.

Второй большой отдел дифференциального исчисления—это учение о рядах. Положение этого отдела в системе анализа— вполне специфическое. Ряды, конечно, нельзя помещать где попало. Логическое место их определяется тем основным обстоятельством, что ряд представляет собой инобытие производной. Если производная является образом пребывания функции в инобытии, то ряд является образом пребывания самой производной в инобытии.

Если производная—тезис, то ряд есть антитезис или, вернее, такой антитезис, который воплощает в себе в инобытийном [231]порядке тезис, производную. Чтобы это понять с полной четкостью, необходимо проанализировать диалектически хотя бы один какой–нибудь ряд. Для такого примера мы и возьмем простейший ряд—ряд Маклорена.

Этот ряд—

Хаос и структура - _91.jpg

состоит из двух элементов, вдвинутых один в другой, — именно из ряда последовательно данных производных, начиная с самой функции при нулевом значении аргумента, —

ƒ(0),ƒ',ƒ",ƒ"', …

и из разложения в ряд е х

Хаос и структура - _92.jpg

Что такое ряд производных, у которых последовательно повышается порядок? Производная есть, как мы видели, закон инобытия той или иной идеальной взаимозависимости. Производная от этой производной, или производная второго порядка, есть переход этого самого закона в инобытие. Производная третьего порядка есть еще новый инобытийный закон этого второго закона. И т. д. Ясно, стало быть, что если производная есть инобытие функции, то ряд производных последовательно повышающегося порядка есть инобытие самого перехода функции в инобытие, инобытие самого становления, инобытийное становление становления функции в инобытии, отрицание отрицания функции в инобытии. Переходя в инобытие и порождая из себя производную, функция отрицает себя. Но, продолжая неизменно дробить этот свой переход в инобытие и тем порождать производные все более и более высокого порядка, функция отрицает свое отрицание, исчерпывает свое отрицание и тем стремится к новому утверждению — к утверждению себя в инобытии не только как становящейся, но и как ставшей.

Однако этого еще недостаточно для того, чтобы действительно совершилось отрицание функции. Дело в том, что производные последовательно повышающегося порядка, взятые сами .по себе, вполне висят в воздухе; они ни к чему не прикреплены; и неизвестно, какие из них брать и как их брать. Тут утверждается только то, что вообще существуют такие производные; но на что они тут употреблены, об этом сама их отвлеченная последовательность ничего не говорит. Надо, стало быть, привязать эти висящие в воздухе ино–бытийные образы к каким–нибудь фактам, чтобы они стали не только теоретической возможностью, но и реально–субстанциальным существованием функции в инобытии, т. е. чтобы действительно получилось разложение функции в ряд. Однако привязать эти отвлеченно данные производные в целях инобытийного осуществления можно только к таким фактам, которые сами даны в становлении. В математике, в теории пределов, рассматривается одно такое тело, которое представляет собой как раз становящуюся единицу. Это именно число с. Ведь это е, которое разлагается:

Хаос и структура - _93.jpg

очевидно, представляет собой единицу, сложенную с отношением ее ко всем возможным другим числам, кроме единицы, причем эти числа уходят в бесконечность. Ясно, что число е есть не что иное, как единица, но такая единица, которая разработана и перекрыта становящимся слоем взаимоотношения ее со всем окружающим числовым инобытием. Но ведь мы должны прикрепить ряд наших производных не просто к единице, но к определенному аргументу разлагаемой функции. Функция, переходя в инобытие, перестраивает существующее в ней отношение к аргументу. И, создавая инобытие своего инобытия, она все равно должна как–то оставаться связанной с судьбой своего аргумента. Поэтому наши производные должны быть осуществлены не просто на становящейся единице, на разложении е в ряд, но на таком е, которое в себе воплощает упомянутый аргумент, которое имеет смысл этого аргумента. Потому производные объединяются с разложением в ряд е х. А это и значит, что мы получаем упомянутые два элемента, из которых диалектически состоит ряд Маклорена.

Если понятна диалектическая структура ряда Маклорена, то, конечно, должен быть понятен и ряд Тейлора (путем простой замены jc на х—я), и ряд Коши (путем замены χ на приращение h). Более подробная диалектика рядов и их классификация, конечно, должны составлять предмет специального исследования. Следует заметить, что понятие ряда существенно связано с теоремой о среднем значении: ряд и есть осуществление этой теоремы. Поэтому рассуждение о рядах должно быть предварено изложением теорем Ролля, Лагранжа и Коши, составляющих, таким образом, тоже центральное содержание этого отдела дифференциального исчисления.

Оригинальный текст книги читать онлайн бесплатно в онлайн-библиотеке Knigger.com