Хаос и структура - Страница 174

Изменить размер шрифта:

В самом деле, что такое видовое различие в формальной логике? Оно даже и не определяется. Или говорится: это то, чем отличается одно видовое понятие от другого, т. е. тут допускается просто idem per idem. Кроме того, самый процесс наложения видового различия на род мыслится здесь внешне, поверхностно, т. е. никак не мыслится. Знаменитое правило: «Определение происходит через род и видовое различие» — совершенно не входит в то, как именно это «происходит». Видоразличие просто «присоединяется», «прибавляется» к роду, и — кончено. Считать это разъяснением того, как логически возникает определение понятия, совершенно невозможно. Что же вместо этого дает нам категория дифференциала?

Если видоразличие понимать как дифференциал, то это прежде всего погружает определение понятия в сплошной поток, в непрерывное становление. Чтобы видоразличие стало дифференциалом, необходимо и самому понятию, о дифференциале которого мы говорили, находиться в процессе непрерывного становления, и основанию деления этого понятия быть пределом для бесконечного количества конкретных форм этого деления. Из этого сплошного потока конкретного функционирования «основания деления» должен быть вырезан тот или иной «участок», «отрезок», «кусок». И вот этот–то смысловой участок, или область действия, принципа дробления понятия и есть дифференциал этого понятия, видоразличие данного понятия. Формально–логическое, неподвижное, ото всего изолированное видовое различие надо погрузить в непрестанный поток изменения: непрерывно меняется определяемое понятие, непрерывно меняется самое направление этого изменения (производная), непрерывно меняется результат этого изменения, или определения.

Взятый в известных границах, результат этого определения тоже внутри себя непрерывно наплывает. Он–то и есть дифференциал.

Синий как видоразличие для какого–нибудь понятия (напр., для «карандаша», «обоев», «костюма», «цветка»), если это видоразличие понимать как дифференциал, предполагает: 1) сплошное изменение данного понятия (всех этих «карандашей», «обоев» и пр.), т.е. «приращение функции»; 2) определенное направление этого изменения, т. е. «производную», или «цвет вообще»; 3) бесконечный перелив и непрерывное становление величин, подпадающих под это направление, «приближенные значения пределопроизводной», или весь непрерывный цветовой спектр, и, наконец, 4) вырезку, выемку, отрезок, область, запруду, конечное протяжение некоторой области из этого становления, определяемого производной — цветом, т.е. синеву определенного и конкретного типа (ибо синих цветов, если принять во внимание все их оттенки, тоже целая бесконечность).

Так модифицируется формально–логическое видоразличие понятия на инфинитезимальную категорию дифференциала. Дифференциал—это и есть, вообще говоря, видоразличие понятия, но — в условиях сплошной текучести — и родового понятия, и основания его деления, и самого видоразличия.

7. Замечательным примером глубочайшей логической значимости инфинитезимальных категорий является рассмотрение того, что в математическом анализе называется разницей между дифференциалом функции и ее приращением. Это математически весьма элементарный шаг, который в учебниках анализа делается обычно тут же, в первых параграфах о дифференциале. Математически он очень элементарен, но логически он очень глубок и замечательно поучителен вообще для построения логики и в частности для проверки ее построений при помощи построений математических.

Как рассуждают тут математики? Когда мы взяли Ах, произвольное приращение аргумента, то это, конечно, сейчас же отразилось и на функции, для которой мы тоже получаем некое приращение, в Зависимости от того, какая это функция. Спрашивается: что же такое дифференциал этой функции в сравнении с этим ее приращением? Есть ли это то же самое или нет, и если не тоже, то чем же именно отличается дифференциал функции от соответствующего нарастания функции? Математики тут рассуждают так.

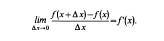
Представим дело аналитически. Будем рассуждать как обычно. Беря функцию от χ, т.е. ƒ(x), приращение аргумента Ах и соответствующее приращение функции, т.е. ƒ(х+Δх)— ƒ(х), пишем обычное выражение производной:

Хаос и структура - _49.jpg

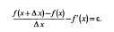
Возьмем разницу между производной и этим стремящимся к ней как к пределу отношением приращений функции и аргумента.

Хаос и структура - _50.jpg

Что такое эта разность ε? Это бесконечно–малая величина, которая переводит нас от приближенного значения к пределу. Это есть самый переход к пределу. Освобождая предыдущее выражение от знаменателя, получаем:

Хаос и структура - _51.jpg

Но левая часть этого равенства есть не что иное, как приращение функции Ау, а первое слагаемое правой части есть не что иное, как дифференциал dy этой функции. Следовательно,

Хаос и структура - _52.jpg

т.е. приращение функции и дифференциал функции отличаются друг от друга на бесконечно–малое высшего порядка, чем Δх.

В чем тут дело, если подойти к вопросу чисто логически? Что это за таинственная величина ε Δ χ, которой только и отличается дифференциал от общего приращения? Вопрос этот также не ставился в логической литературе. Однако мы можем предложить его простейшее и яснейшее решение.

Мы уже знаем, что такое ε. Это самый переход от переменной величины, стремящейся к пределу, к самому пределу. Мы знаем также, что значит умножить. Выражаясь не математически, а образно–обывательски, это значит воспроизвести множимое методом множителя, воспроизвести одно, так сказать, в атмосфере другого, найти нечто общее между одним и другим. Такие выражения, когда они вызваны чувством (хотя и очень смутным) логической природы предмета, часто бывают для логики гораздо более ценными, чем точнейшие, но логически не осознанные и наглядно не освоенные математические формулы. Если Δх есть произвольное приращение независимого переменного, т.е. известная материальная перемена, то ε Ах есть, очевидно, некое новое понимание перехода к пределу, а именно тот предельный переход, который по качеству своему есть некое определенное материальное изменение.

Что же это такое? Производная у нас, как мы знаем, есть принцип деления понятия (скажем, «цвет» для «обоев»). Разница ε есть, очевидно, разница между «цветом вообще» и данным цветом. Тогда ε Δх есть разница между «цветом вообще» и, напр., желтым или зеленым цветом. Но ведь дифференциал понятия есть его видовое различие. Следовательно, из полученной формулы мы имеем: приращение понятия (обои) есть его видовое различие (зеленый цвет) плюс переход этого видоразличия к его предельному в данной ситуации значению. Но что же такое этот переход видоразличия к пределу? Что делается пределом для зеленого цвета обоев? Ведь оттенков зеленого цвета неисчислимое количество. И тем не менее тут они чем–то сдерживаются, тут для них есть какой–то точный и определенный принцип, есть для них точный предел. Этот предел есть, конечно, сами обои, ибо это единственная граница, за которую мы не можем выходить, если говорим о цвете именно обоев.

Но тогда получается очень простое решение вопроса о логической значимости разбираемого нами произведения. Это есть переход видоразличия к тому роду, к тому родовому понятия, которое им специфицируется. «Приращение» понятия есть не что иное, как соединение его дифференциала — видового различия — с переходом к роду, с этим самым произведением ε Δх. Другими словами, здесь перед нами не что иное, как инфинитезимальная модификация самого обыкновенного формально–логического процесса определения понятия. Понятие определяет себя тем, что оно нарастает. Определить себя—значит перейти в иное и в этом ином найти себя. Приращение функции, приращение понятия и есть не что иное, как ее определение. Но что делается при переходе в иное? Понятие прежде всего получает характеристику, противоположную себе, раз оно перешло в иное. Сами обои не есть цвет, но, переходя в иное, они становятся тем или иным цветом. Собака не есть такое–то и такое–то строение ушей и ног; но, переходя в иное, в материальное окружение, это понятие специфицируется, и для «собаки» оказывается существенной, напр., коротконогость или длинноухость. И т. д. Однако этим определение понятия, конечно, не может ограничиваться. Если бы мы остановились на этом, то вместо определения понятия мы имели бы как раз уход от определения, противоположность всякого определения, ибо само по себе взятое видоразличие «зеленый цвет» не имеет ровно никакого отношения к «обоям» или, вернее, имеет к ним такое же отношение, как и к «карандашу» или к «листьям дерева». Сама по себе «зеленость» совершенно инобы–тийна к «обоям» и нисколько их не характеризует. Чтобы «зеленость» стала существом обоев, надо в этой «зелености» найти «обои», т. е. надо, чтобы тут была «зеленость», характерная именно для обоев, а не для чего–нибудь другого. Надо, чтобы определяемое через инобытие понятие не только перешло в это инобытие, но чтобы оно и нашло себя в этом инобытии, сошлось в нем само с собою, необходимо, чтобы определяемое через инобытие понятие не только перешло в инобытие, но чтобы и это инобытие понятия перешло к самому понятию. Необходимо их равномерное и обоюдостороннее тождество. Но, когда мы от «обоев» перешли к «зелености», мы достаточно демонстрировали переход определяемого понятия в инобытие. Остается, значит, чтобы «зеленость» перешла в «обои», и тогда цель определения будет достигнута. Это и значит, что видоразличие должно перейти к роду, видоразличие понятия должно вернуться к той родовой общности, которую мы и должны были определять. Этот сложный диалектический процесс определения понятия, сводящийся, как мы видим, к отрицанию отрицания, и выражается в формальной логике, по исключении всякой процессуальное и со сведением непрерывности на неподвижно изолированные категории, так: определение понятия происходит через род и видовое различие.

Оригинальный текст книги читать онлайн бесплатно в онлайн-библиотеке Knigger.com