Гендер и язык - Страница 25
Таблица 4.2
Употребление [i] мужчинами и женщинами г. Глазго [Макаулэй, 1978 135]


Диаграмма 4.8. Стратификация [i] по социальному классу и полу [Макаулэй 1978, 135].
Макаулэй указал, что основной разрыв в показателях отмечается у женщин между группами «нижний слой среднего класса» и «верхний слой рабочего класса», а у мужчин между группами «нижний слой среднего класса» и «верхний слой рабочего класса». Так, женщины группы «нижний слой среднего класса» говорят подобно женщинам группы «верхний слой среднего класса», а мужчины группы «нижний слой среднего класса» – как мужчины группы «верхний слой рабочего класса». Это еще раз доказывает, что нижний слой среднего класса является базовой категорией.
Данные Макаулэя, как и данные Траджилла, наводят на мысль, что полученные показатели больше скрывают, чем раскрывают особенность социальной группы. В случае с переменной [i] в английском языке г. Глазго количественные показатели социального класса предоставляют нам только среднее число мужчин и женщин и не проводят различий между мужчинами и женщинами в использовании [i].
4.3.3. Вест-Виррал
Марк Ньюбрук (1982) в исследовании г. Вест-Виррал ставит цель выяснить, насколько глубоко городской разговорный язык
Ливерпуля «Scouse» проникает в окружающие территории и, в частности, насколько характерные черты «Scouse» вытесняют местные чеширские языковые формы в качестве обычных нелитературных форм, встречающихся в этой местности. Он изучил несколько фонологических переменных и обнаружил для большинства из них существование значимых различий по полу. В диаграмме 4.9. представлены показатели женских и мужских групп трех переменных (ing) в jumping, [h] в house, [к] в kick. Для (ing) возможны два варианта [ıŋ] и [in]; для (h) – [h] и ∅; для (к) – стандартный вариант [к] и нестандартная аффриката [кх] (или иногда [х]). Цифра 100 указывает на устойчивое употребление престижного варианта. Во всех трех переменных мы обнаружили ожидаемую модель: женское произношение более приближено к престижному стандарту, нежели мужское. К тому же групповые данные диаграммы не раскрывают тот факт, что варьирование индивидуальных показателей между мужчинами и женщинами значительно отличается. Типичный показатель для мужчины рабочего класса гораздо ниже, чем для мужчины среднего класса, тогда как показатели у женщин охватили значительно более узкую область. Это позволяет предположить, что социальный класс является более важным фактором в определении речи мужчин, чем женщин, по крайней мере в Вест-Виррале.

Диаграмма 4.9. Половые различия в Вест-Виррале для трех фонологических переменных: (ing), (k), (h).

Диаграмма 4.10. Стратификация по полу и возрасту на примере переменной [а] в Вест-Виралле.
На диаграмме 4.10 представлена переменная (а) – bath, grass. В этом эксперименте информанты анализировались по возрасту и полу.
Цифра 100 указывает на постоянное, устойчивое произношение (RP – received pronunciation) – [а: ]; 0 – на нелитературное произношение [æ]. Обратим внимание, что показатель женщин в каждой возрастной группе выше, чем показатель мужчин. Также отметим градацию по возрасту, которую отражает эта переменная: показатели для пожилых людей выше, чем для молодых. Пожилые женщины гораздо ближе к литературным нормам, чем другие говорящие, а молодые мужчины действительно устойчиво употребляют [æ]. Представляется, что молодые женщины участвуют в процессе возрастающего преобладания [æ]. По-видимому, нелитературный вариант является маркером не только речи мужчин, но также и речи молодых.
4.3.4. Эдинбург
Наш четвертый пример мы взяли из исследования Сьюзан Ромэйн в Эдинбурге [Romaine 1978]. В ее исследовании изучается речь учащихся начальной школы из рабочих семей. С каждым ребенком опрос проводился индивидуально. Дети 10 лет также читали отрывок. Отметим, что по сравнению с другими рассмотренными нами исследованиями, это было наиболее избирательным: информанты принадлежали к узкой возрастной категории (6—10 лет), к рабочему классу (насколько позволяла судить об этом профессия отца), и данные эксперимента были получены только в одном контексте (за исключением десятилетних детей).
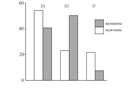
Одной из переменных, вошедших в исследование С. Ромэйн, был вокализованный согласный [г] – car, door и т. д. Переменная обнаруживается на юге Шотландских приграничных районов, в сельской местности севера Ланкашира и в Уэльских приграничных районах, а также в графствах, расположенных к юго-западу от Лондона: однако шотландцы в основном уверены в произношении своего варианта [г]. Ромэйн попыталась проверить, насколько это соответствует действительности. Она выделила три варианта [г]: альвеолярный [г], щелевой фрикативный согласный звук [.ı] и ∅. За каждый вариант информантам присваивался отдельный балл с учетом употребления каждого варианта, выражаемого в процентном отношении ко всем случаям использования [г].
Анализ результатов Сьюзан Ромэйн позволил сделать вывод, что пол говорящего является единственным и самым важным фактором, связанным с [г]. В диаграмме 4.11 представлены результаты употребления каждой переменной для информантов, объединенных в группы по половой принадлежности.

Диаграмма 4.11. Различия в употреблении [г] между группами мужского и женского пола в Эдинбурге (на основе эксперимента Сьюзан Ромэйн) [Romain 1978, 50].
Этот график объединяет показатели детей в трех изученных возрастных группах, так как явные отличия в использовании [г] проявились между мальчиками и девочками в каждой возрастной группе. Обратим внимание, что мальчики чаще используют в речи альвеолярный звук [г], чем девочки, и также более склонны опускать его. Девочки же, наоборот, предпочитают щелевой фрикативный согласный звук [.ı], а также избегают опускать его в словах.
Эта переменная также показывает отчетливую половую дифференциацию. В показателях частотности самой заметной особенностью является использование девочками щелевого фрикативного согласного звука [.ı]. Очевидно, щелевой фрикативный согласный звук [.ı] является маркером женской речи в Эдинбурге.
4.3.5. Выводы
Четыре рассмотренных нами британских исследования показывают постоянство половой дифференциации в речи. Там, где существует альтернатива, часто оказывается, что мужчины и женщины предпочитают разные варианты. Далее, если возможно назвать один из вариантов престижным, то именно женщинам свойственно использование этого варианта. Это касалось переменных [ng] в Норвиче, [i] в Глазго, [ing], [h], [к] в Вест-Виррале. Иначе говоря, представляется, что употребление не соответствующих стандарту, непрестижных форм, связано не только с рабочим классом, но также и с мужчинами. Там, где мы находим вариант, постоянно используемый одной группой говорящих чаще, чем другой, мы называем его маркером (marker). Наши примеры показывают, что [n] является маркером речи мужчин Норвича, [æ] – маркером речи мужчин (и молодежи) в Вест-Виррале и щелевой фрикативный согласный звук [.ı] – маркером речи женщин Эдинбурга.
4.4. Пояснения
Описанные выше примеры, взятые из социолингвистических работ Британии, показывают какие формы принимает языковая вариативность между полами. Это приводит к вопросу «Почему?». Основной целью количественных исследований, – таких как использованные в качестве примеров в этой главе, – является сбор и анализ данных о языковой вариативности. Многие социолингвисты первоначально не задавались вопросом, почему такие изменения существуют, и их методология не была разработана для исследования подобных вопросов.